Physics-Augmented Learning: A New Paradigm Beyond Physics-Informed Learning.
https://arxiv.org/abs/2109.13901

摘要
在本文中,作者希望将物理信息学习(physics-informed learning, PIL)进一步推广,从而提出了一个新的模式——物理增强学习(physicsaugmented learning, PAL)。PIL和PAL分别通过处理判别性和生成性属性来相互补充。PAL是对PIL一个补充。类似于PINN,PIL是基于正则化设计的,适用于判别属性,而PAL是基于模型设计的,适用于生成属性。这两种属性的定义作者将在文中给出定义在数值实验中,PAL可以解决一些PIL不适用的案例。但是本文的实验没有涉及到求解微分方程。
介绍
PIL目前被大量的探索应用,其中,PIL要求所执行的物理属性具有判别性而非生成性。为了完善PIL,作者提出PAL框架,在利用判别属性的同时,能够兼顾生成属性。
模型对比
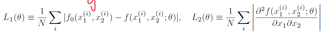
首先,可以根据流程对比图分别了解一下PIL和PAL。

左边是物理信息学习的流程,这就很类似于PINN的结构,损失L1可以理解为数据产生的损失,没有数据时L1损失可以为0。损失L2则是物理损失。右边是作者所提出的物理增强学习框架,区别在于红色方块。红色方块和蓝色方块都代表一个神经网络,但是被设计用来满足不同的性质,简单来说,通过红色方块来满足生成性属性,通过蓝色方块来满足判别性属性。
生成性和判别性
收到GAN的鼓励,作者对一个性质P定义了生成器和鉴别器。下面给出定义。
def 1: Generator
生成器可以生成具有性质P的目标f
def 2: Discriminator
鉴别器可以判别一个目标f是否具有性质P
注:为了最大限度的发挥作用,生成器可以由神经网络实现,鉴别器可以作为分类器或者损失函数实现。
def 3: Ideal Generator
理想生成器是:1 准确(生成的永远满足要求),2 完整 (可以生成所有正确的目标),3 高效 ,4 可微
def 4: Ideal Discriminator
理想的鉴别器是:1 准确(总能正确分辨),2 高效, 3 可微(需要用于反向传播)
下面定义生成性质和判别性质
def 5: Generative property
性质P是生成性的,如果对于P,存在理想的生成器
def 6: Discriminative property
性质P是判别性的,如果对于P,存在理想鉴别器
注:对于上面,我的理解是:以PDE问题为例(如果解是存在的),PINN可以利用神经网络去生成解,所以是生成性的;而我们使用残差损失作为损失函数,理论上可以保证找到真解,所以又是判别性的。目前的工作只使用了判别性,忽略了生成性。但是怎么才能利用生成性呢?
文中作者给了几个例子来便于理解。可以看到PDE即是生成性的,又是判别性的。

PIL 和 PAL
PIL
正如在图1中所示的,PIL的常见方法是在损失函数中添加一个软惩罚项L2(对应物理属性),即PIL利用了判别性。
Example:可分性问题的示例:
假设训练数据集(N个样本)由y = f0(x1, x2)生成, 使用参数化的神经网络 fθ 去拟合数据,并且 fθ 是加法可分的。PIL使用损失函数 L = L1 + λ L2 进行学习。前一项是预测损失(数据损失),后一项是可分性损失。

根据上面的定义,L2就是利用了判别性得到的。但是,PIL框架只能够在判别性性质时使用,不能考虑生成性,所以作者提出了PAL框架。
PAL
PAL和PIL最大的不同是:PAL基于模型设计,而PIL基于正则化设计。
在PAL框架中,整个模型由两个并行的模块组成,第一个模块(PhyGen)严格满足生成属性,第二个模块增强表达能力以允许违反属性。损失函数同样由预测误差(数据误差)和黑盒输出的某个范数的惩罚项(类似物理损失)组成。
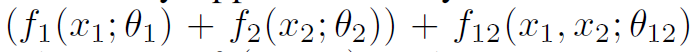
Example:可分问题的PAL版本
在PAL中,我们有两个神经模块PhyGen和Blackbox。PhyGen具有两个子网络,输出它们的和,并严格满足加法可分离性。Blackbox是一个全连接神经网络 f12(x1,x2, θ12) ,用来近似任意的双变量连续函数。
那么PAL总的预测就是

那么预测损失就是它与标签y的距离(这里要求真实数据)。黑盒的损失同上,是其输出的某个范数。下图是一个简单的对比。

PAL是怎么利用生成性的呢?
根据实验结果去理解了一下。
用上面的例子解释一下就是,因为求解加法可分性问题,所以添加额外的一个组块PhyGen,并且要求它严格满足加法可分性。瞎折腾。
实验结果

什么时候使用PAL会好于PIL?
PAL和PIL分别是利用判别性和生成性的互补框架。因此,如果任务属性是生成性且非判别性时,可以使用PAL。另外,由于PAL中存在两个并行的模块,这种模型分解可能会帮助解释一些物理现象。
对提升PDE的训练没有帮助。
Physics-Augmented Learning: A New Paradigm Beyond Physics-Informed Learning.的更多相关文章
- Domain adaptation:连接机器学习(Machine Learning)与迁移学习(Transfer Learning)
domain adaptation(域适配)是一个连接机器学习(machine learning)与迁移学习(transfer learning)的新领域.这一问题的提出在于从原始问题(对应一个 so ...
- Machine Learning - 第5周(Neural Networks: Learning)
The Neural Network is one of the most powerful learning algorithms (when a linear classifier doesn't ...
- Transfer learning across two sentiment classes using deep learning
用深度学习的跨情感分类的迁移学习 情感分析主要用于预测人们在自然语言中表达的思想和情感. 摘要部分:two types of sentiment:sentiment polarity and poli ...
- [Active Learning] 01 A Brief Introduction to Active Learning 主动学习简介
目录 什么是主动学习? 主动学习 vs. 被动学习 为什么需要主动学习? 主动学习与监督学习.弱监督学习.半监督学习.无监督学习之间的关系 主动学习的种类 主动学习的一个例子 主动学习工具包 ALiP ...
- Learning to Compare: Relation Network for Few-Shot Learning 论文笔记
主要原理: 和Siamese Neural Networks一样,将分类问题转换成两个输入的相似性问题. 和Siamese Neural Networks不同的是: Relation Network中 ...
- Beginning Math and Physics For Game Programmers (Wendy Stahler 著)
Chapter 1. Points and Lines (已看) Chapter 2. Geometry Snippets (已看) Chapter 3. Trigonometry Snippets ...
- How do I learn machine learning?
https://www.quora.com/How-do-I-learn-machine-learning-1?redirected_qid=6578644 How Can I Learn X? ...
- What are some good books/papers for learning deep learning?
What's the most effective way to get started with deep learning? 29 Answers Yoshua Bengio, ...
- [C5] Andrew Ng - Structuring Machine Learning Projects
About this Course You will learn how to build a successful machine learning project. If you aspire t ...
- [C3] Andrew Ng - Neural Networks and Deep Learning
About this Course If you want to break into cutting-edge AI, this course will help you do so. Deep l ...
随机推荐
- Linux在线安装MySQL5.7
Linux在线安装MySQL 5.7及编码密码修改 先检测系统是否自带安装mysql yum list installed | grep mysql 若出现mysql相关信息,卸载原始版本 yum - ...
- Java集合-Collection详解
基础知识: 什么是集合? 集合是一个容器.把多个对象放入容器中.有一个水杯,你可以选择把水不断往里装,也可以选择装牛奶.但是不能两种不同的东西混合装一个杯子.集合这个容器里装的一定是同一类型的东西.( ...
- C# 字符串去掉括号和括号里面的内容
https://blog.csdn.net/zhang0000dehai/article/details/80701341 using System.Text.RegularExpressions; ...
- 留个VKProxy性能测试记录
其实原本是打算OpenTelemetry对应内容搞好后再做个简单的性能测试,也算表明自己写(抄)代码的能力(不至于用了反射什么的就把Kestrel这么好的底子的性能拖垮了) 但是最近看见一篇go的文章 ...
- java GUI 测试
简介 模拟机器人操作测试GUI code /* * @Author: your name * @Date: 2020-11-08 18:22:54 * @LastEditTime: 2020-11-0 ...
- 监控Streamlit中每段代码的rerun情况
把代码放到不同的函数中并用下面的装饰器包裹即可在log中输出rerun次数. 依赖: loguru import streamlit as st from functools import wraps ...
- SciTech-Mathmatics-Proba. & Stats.: 判断充满世界的"Distribution":置信区间估计方法
SciTech-Mathmatics-Proba. & Stats.: 判断充满世界的"Distribution":置信区间估计方法 The world is full o ...
- 【L53】动态规划求解最大子序和问题
Question 给定一个整数数组 nums , 找到一个具有最大和的连续子数组(子数组最少包含一个元素),返回其最大和. Anwser 当问题可以分解为彼此独立且离散子问题时,可以考虑使用动态规划来 ...
- linux操作系统中rpm离线包的下载和安装--九五小庞
前言 在Linux操作系统中当需要安装相关程序包时,如果有网络的情况下,可以直接通过yum源命令直接进行下载安装,比较简单方便.但是在没有互联网的情况下,需要下载对应的rpm包,进行离线安装. 1.下 ...
- Web前端入门第 81 问:JavaScript cookie 的读写操作
前端的 cookie 读写在 2020 年之前一直不存在一个官方的接口,每次需要使用 cookie 的时候,要么是引入三方插件,要么就需要自己封装一个公用的组件或函数. npm 的 cookie 插件 ...