代码随想录第四天 | Leecode 24. 两两交换链表、19.删除链表的倒数第N个节点、 面试题 02.07. 链表相交、 142.环形链表II
Leecode 24 两两交换链表
题目描述
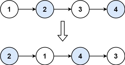
给你一个链表,两两交换其中相邻的节点,并返回交换后链表的头节点。你必须在不修改节点内部的值的情况下完成本题(即,只能进行节点交换)。
示例 1:

- 输入:
head = [1,2,3,4] - 输出:
[2,1,4,3]
- 输入:
示例 2:
- 输入:
head = [] - 输出:
[]
- 输入:
示例 3:
- 输入:
head = [1] - 输出:
[1]
- 输入:
递归法解题思路
本题要求每一次对链表的最前端两个节点进行交换,而每次交换结束之后,后续的链表又可以看做是一个新的链表。故自然可以联想到使用递归的方法,此处给出递归算法的算法框架:
- 调用递归函数对后续链表进行两两交换
- 处理终止条件(如果当前链表为空,则返回
nullptr,如果当前链表只有一个节点,则返回当前头节点) - 对链表中头两个节点进行交换操作
- 交换后的后一个节点指向对后续链表头节点调用递归函数的返回值
- 处理终止条件(如果当前链表为空,则返回
根据上面思路可以写出代码如下:
class Solution {
public:
ListNode* swapPairs(ListNode* head) {
if(head == nullptr){ // 链表为空的时候
return nullptr;
}
else if(head->next == nullptr){ // 链表中只有一个节点
return head;
}
ListNode* pre = head; // pre和cur分别指向最前的两个节点
ListNode* cur = head->next;
pre->next = swapPairs(cur->next); // 对后续节点递归调用
cur->next = pre;
return cur;
}
};
上面这个递归算法感觉也算比较容易理解了,和昨天那道移除链表元素的方法很像,那道题每次递归只用判断头节点是否需要删除,而本题每次只用对前两个节点进行交换。同时这题我也是二十分钟不到一遍提交直接通过,这还是我到目前为止第一道一遍过的题目。
Leecode 19 删除链表的倒数第n个节点
题目描述
给你一个链表,删除链表的倒数第 n 个结点,并且返回链表的头结点。
- 示例 1:
- 输入:
head = [1,2,3,4,5],n = 2 - 输出:
[1,2,3,5]
- 输入:
- 示例 2:
- 输入:
head = [1],n = 1 - 输出:
[]
- 输入:
- 示例 3:
- 输入:
head = [1,2],n = 1 - 输出:
[1]
- 输入:
解法1 两次遍历的暴力求解
本题需要删除倒数第n个节点,但是链表并不能从末尾往前遍历。因此一种自然的想法就是,先遍历一遍链表来计数数出链表中节点的个数k,那么要删除倒数第n个节点,就相当于删除第k-n个节点。后续直接再遍历一次查找到待删除的节点的前一个节点(即第k-n-1个节点)即可删除节点。
按照上述思路可以得到代码如下:
class Solution {
public:
ListNode* removeNthFromEnd(ListNode* head, int n) {
int k = 1;
ListNode* cur = head;
while(cur->next){ // 用k来记录链表中元素个数
cur = cur->next;
k++;
}
if(k < n) return head; // 如果链表中元素更少,则直接返回
else if(k == n) return head->next; // 如果链表中元素个数和n相等,返回下一个节点
else{
cur = head; // cur指针重新回到head头节点
for(int i = 0; i < k-n-1; i++){ // 往后走 k-n-1 步,走到待删除的节点的前一个节点
cur = cur->next;
}
ListNode* temp = cur->next; // 删除节点
cur->next = cur->next->next;
delete temp;
}
return head;
}
};
可以分析一下上面代码的时间复杂度,首先进行一次遍历进行计数,时间复杂度为\(O(n)\),随后再进行删除操作,时间复杂度又是\(O(n)\)。因此相当于进行了两次复杂度为\(O(n)\)的操作,因此总的时间复杂度还是\(O(n)\)。
解法2 双指针法
刚才的方法用了两次遍历,接下来我们考虑只使用一次遍历。为了取到倒数第n个节点的前一个节点,我们可以让一个指针先出发进行遍历,在走了n+1步之后,第二个指针从头节点出发;当第一个指针走到末尾之后,第二个指针就指向了倒数第n个节点的前一个节点。使用这样的方法,我们可以得到代码如下:
class Solution {
public:
ListNode* removeNthFromEnd(ListNode* head, int n) {
ListNode* right = head;
for(int i = 1; i < n; i++){ // 第一个指针先出发走步n步
if(right == nullptr){ // 如果数组长度小于n,则会先走到null,那么不用删除直接返回
return head;
}
right = right->next;
}
if(right->next == nullptr) return head->next; // 如果链表中刚好n个节点,那么删去头节点
right = right->next; // 右指针多走一步,因为左指针要指向待删除节点的上一个节点
ListNode* left = head; // 左节点进入链表
while(right->next){
right = right->next;
left = left->next;
}
ListNode* temp = left->next;
left->next = left->next->next;
delete temp;
return head;
}
};
上面代码中只用一次遍历就完成,而时间复杂度和之前一样还是\(O(n)\). 但的确是会更加高效一些.
Leecode 面试02.07 链表相交
题目描述
给你两个单链表的头节点 headA 和 headB ,请你找出并返回两个单链表相交的起始节点。如果两个链表没有交点,返回 null 。
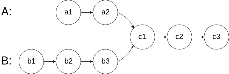
图示两个链表在节点 c1 开始相交:

题目数据 保证 整个链式结构中不存在环。
注意,函数返回结果后,链表必须 保持其原始结构 。
示例 1:

- 输入:
intersectVal = 8,listA = [4,1,8,4,5],listB = [5,0,1,8,4,5],skipA = 2,skipB = 3 - 输出:
Intersected at '8' - 解释:相交节点的值为
8(注意,如果两个链表相交则不能为0)。从各自的表头开始算起,链表A为[4,1,8,4,5],链表B为[5,0,1,8,4,5]。在A中,相交节点前有2个节点;在B中,相交节点前有3个节点。
- 输入:
示例 2:

- 输入:
intersectVal = 2,listA = [0,9,1,2,4],listB = [3,2,4],skipA = 3,skipB = 1 - 输出:
Intersected at '2' - 解释:相交节点的值为
2(注意,如果两个链表相交则不能为0)。从各自的表头开始算起,链表A为[0,9,1,2,4],链表B为[3,2,4]。在A中,相交节点前有3个节点;在B中,相交节点前有1个节点。
- 输入:
示例 3:

- 输入:
intersectVal = 0,listA = [2,6,4],listB = [1,5],skipA = 3,skipB = 2 - 输出:
null - 解释:从各自的表头开始算起,链表
A为[2,6,4],链表B为[1,5]。由于这两个链表不相交,所以intersectVal必须为0,而skipA和skipB可以是任意值。这两个链表不相交,因此返回null。
- 输入:
解法1 暴力法
还是先来一个暴力搜索,考虑每次固定链表A中的一个节点,逐个比较链表B中的所有节点,如果从头到尾比对完都没有,那么选取A的下一个节点继续比对链表B中的节点。这种算法的时间复杂度为\(O(m \times n)\),其中\(n\)和\(m\)分别表示链表A和链表B中节点个数,但尽管时间复杂度很大,我们也可以先把这种算法写出来:
class Solution {
public:
ListNode *getIntersectionNode(ListNode *headA, ListNode *headB) {
for(ListNode* curA = headA;curA != nullptr; curA = curA->next){ // 遍历A中每一个节点
for(ListNode* curB = headB; curB != nullptr; curB = curB->next){ // 每次固定A的一个节点,遍历B中所有节点
if(curA == curB){ // 如果存在一样的节点,则说明相交,返回当前节点
return curA;
}
}
}
return nullptr; // 如果遍历完所有节点都没有找到,那就返回空指针
}
};
非常暴力又有效的算法,上面代码也很简洁,短短几行就遍历完了所有情况。但是又不得不说时间复杂度为\(O(m \times n)\)还是有点太大,接下来我们考虑另外一种时间复杂度为\(O(m + n)\)的算法。
解法二
根据相交链表示意图可以看出,两个相交链表在相交之后共用相同的一组后缀节点,而这两个链表在相交之前的长度我们是未知的。为了能够找到两个链表相交的节点,我们可以考虑让长度更长的一个链表先往后遍历几步,等到该链表剩下的部分和另外一个链表长度一样的时候,再让这两个链表一起遍历,同时每一步遍历都进行一次判断,如果两节点相等,则说明找到了相交节点。下面我们可以给出代码:
class Solution {
public:
int countNode(ListNode* head){ // 输出链表中节点的个数
if(head == nullptr) return 0; // 如果头节点为nullptr,则说明长度为0
ListNode* cur = head;
int n = 1; // 头节点是第一个节点
while(cur){ // 遍历计数
cur = cur->next;
n++;
}
return n;
}
ListNode *getIntersectionNode(ListNode *headA, ListNode *headB) {
int n_A = countNode(headA); // 首先取到两个链表的长度
int n_B = countNode(headB);
if ( n_A == 0 || n_B == 0){ // 如果有一个链表为空,则直接返回nullptr
return nullptr;
}
ListNode* curA = headA; // 初始化遍历指针
ListNode* curB = headB;
if(n_A > n_B){ // 如果链表A更长,则指针curA先走几步;// 这里的if-else判断可以删掉,只留下两个for循环也可,因为for循环中i < n_A - n_B已经包含了判断
for(int i = 0; i < n_A-n_B ; i++){
curA = curA->next;
}
}
else{ // 如果链表B更长,则指针curB先走几步;// 这里的if-else结构可以删除,为了可读性而进行保留
for(int i = 0; i < n_B-n_A ; i++){
curB = curB->next;
}
} // 刚才单独操作一个指针,使得现在两个指针到最后的距离相等,接下来两个指针一起遍历,并每一次遍历都进行if判断
while(curA){
if(curA == curB){ // 如果两个指针相同,则说明找到了交叉点,此时return该节点
return curA;
}
curA = curA->next; // 两个指针一起往后走
curB = curB->next;
}
return nullptr; // 如果两个链表都遍历完了还没找到相交点,则说明无相交,返回nullptr
}
};
上面这个算法的时间复杂度为\(O(m+n)\)。相比刚才的\(O(m\times n)\)已经得到了较大优化.
Leecode 142 环形链表
- 题目链接:
题目描述
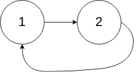
给定一个链表的头节点 head ,返回链表开始入环的第一个节点。 如果链表无环,则返回 null。
如果链表中有某个节点,可以通过连续跟踪 next 指针再次到达,则链表中存在环。 为了表示给定链表中的环,评测系统内部使用整数 pos 来表示链表尾连接到链表中的位置(索引从 0 开始)。如果 pos 是 -1,则在该链表中没有环。注意:pos 不作为参数进行传递,仅仅是为了标识链表的实际情况。
不允许修改 链表。
示例 1:

- 输入:
head = [3,2,0,-4],pos = 1 - 输出:返回索引为
1的链表节点 - 解释:链表中有一个环,其尾部连接到第二个节点。
- 输入:
示例 2:

- 输入:
head = [1,2],pos = 0 - 输出:返回索引为
0的链表节点 - 解释:链表中有一个环,其尾部连接到第一个节点。
- 输入:
示例 3:

- 输入:
head = [1],pos = -1 - 输出:返回
null - 解释:链表中没有环。
- 输入:
class Solution {
public:
ListNode *detectCycle(ListNode *head) {
ListNode* fast = head; // 定义快慢指针
ListNode* slow = head;
while(1){
if(fast == nullptr || fast->next == nullptr) return nullptr; // 如果快指针走到null说明没有环
fast = fast->next->next; // 快慢指针分别移动
slow = slow->next;
if(fast == slow) break; // 如果快慢指针相交,说明存在有环
}
slow = head; // 两个指针分别再从相交点和头节点开始遍历,再次的交点就是入环的节点
while(1){
if(fast == slow) return fast; // 如果两个节点再次汇合,此时节点就是入环的节点
fast = fast->next;
slow = slow->next;
}
}
};
这道题感觉难度还真挺大的,感觉就是需要比较巧妙的数学推导才能想到这个方法。我是想了很久没有想出来,最后看了一下卡哥的文档才知道怎么做。
今日总结
今天写了了链表的四道题目,也算是粗略地把链表过完了。感觉链表和数组部分的题目用了很多双指针的方法,以及很多题目都可以用递归(这几天写了好多递归)
最后给自己加油
代码随想录第四天 | Leecode 24. 两两交换链表、19.删除链表的倒数第N个节点、 面试题 02.07. 链表相交、 142.环形链表II的更多相关文章
- 代码随想录训练营day 5|24.两两交换链表中的节点 19.删除链表的倒数第N个节点 面试题02.07.链表相交 142.环形链表Ⅱ
24. 两两交换链表中的节点 题目链接:24. 两两交换链表中的节点 题目描述:给你一个链表,两两交换其中相邻的节点,并返回交换后链表的头节点.你必须在不修改节点内部的值的情况下完成本题(即,只能进行 ...
- 【算法训练营day4】LeetCode24. 两两交换链表中的结点 LeetCode19. 删除链表的倒数第N个结点 LeetCode面试题 02.07. 链表相交 LeetCode142. 环形链表II
[算法训练营day4]LeetCode24. 两两交换链表中的结点 LeetCode19. 删除链表的倒数第N个结点 LeetCode面试题 02.07. 链表相交 LeetCode142. 环形链表 ...
- 代码随想录第四天| 24. 两两交换链表中的节点 、19.删除链表的倒数第N个节点 、160.链表相交、142.环形链表II
今天链表致死量 第一题 public static class ListNode { int val; ListNode next; ListNode() {} ListNode(int val) { ...
- 代码随想录-day1
链表 今天主要是把链表专题刷完了,链表专题的题目不是很难,基本都是考察对链表的操作的理解. 在处理链表问题的时候,我们通常会引入一个哨兵节点(dummy),dummy节点指向原链表的头结点.这样,当我 ...
- 代码随想录算法训练营day04 | leetcode
基础知识 记录一下栈实现及操作 public class ArrayDequeStack { public void main() { ArrayDeque stack = new ArrayDequ ...
- 剑指offer-第三章高质量的代码(输出该链表中倒数第K个节点)
题目:输入一个链表,输出这个链表中倒数第K个节点.(代码的鲁棒性) 思路:用两个指针p1和p2,都指向头节点,开始的时候,p2不动,p1移动k-1次,指向第k个节点.此时,如果p1->next! ...
- Python实现C代码统计工具(四)
目录 Python实现C代码统计工具(四) 标签: Python 计时 持久化 声明 运行测试环境 一. 自定义计时函数 1.1 整个程序计时 1.2 代码片段计时 1.3 单条语句计时 二. 性能优 ...
- leetcode 24. 两两交换链表中的节点 及 25. K 个一组翻转链表
24. 两两交换链表中的节点 问题描述 给定一个链表,两两交换其中相邻的节点,并返回交换后的链表. 你不能只是单纯的改变节点内部的值,而是需要实际的进行节点交换. 示例: 给定 1->2-> ...
- 代码随想录第八天 |344.反转字符串 、541. 反转字符串II、剑指Offer 05.替换空格 、151.翻转字符串里的单词 、剑指Offer58-II.左旋转字符串
第一题344.反转字符串 编写一个函数,其作用是将输入的字符串反转过来.输入字符串以字符数组 s 的形式给出. 不要给另外的数组分配额外的空间,你必须原地修改输入数组.使用 O(1) 的额外空间解决这 ...
- .net之工作流工程展示及代码分享(四)主控制类
现在应该讲主控制类了,为了不把系统弄得太复杂,所以就用一个类作为主要控制类(服务类),作为前端.后端.业务逻辑的控制类. WorkflowService类的类图如下: 该类的构造函数: public ...
随机推荐
- Hetao P1307 树的剖分 题解 [ 蓝 ] [ 树形 dp ] [ 贪心 ]
树的剖分:很厉害的性质题,代码也很好写.运用到了奇偶性拼凑答案的 trick. 观察 首先发现一个很重要的条件:一个点的点权只可能是 \(0,1,2\). 这个条件开始我们可能无法用上,于是先想最后的 ...
- C语言程序设计手写笔记
最近自己录了一个自学C语言系列,笔记发出来,视频还在传
- ABB工业机器人控制柜IRC5维修具体细节
对于ABB机器人维修工作,需要具备专业的知识和技能,同时遵循维修步骤和注意事项.通过加强预防措施和建议的实施,可以有效降低ABB工业机器人控制柜IRC5的故障率,提高ABB工业机器人的整体运行效率. ...
- LVGL 8.3.0常用函数快速使用
LVGL 8.3.0使用快速上手教程(使用篇) 定义页面通用样式style // 创建页面样式 static lv_style_t style; lv_style_init(&style); ...
- JavaGUI - [04] BoxLayout
题记部分 一.简介 为了简化开发,Swing引入了一个新的布局管理器:BoxLayout.BoxLayout可以在垂直和水平两个方向上摆放GUI组件,BoxLayout提供了如下一个简单的构造器: ...
- ubuntu更换国内镜像源备忘
源的路径: /etc/apt/sources.list 更换前备份一下: sudo cp /etc/apt/sources.list /etc/apt/sources_init.list 打开文档,修 ...
- SpringBoot三种获取Request和Response的方法
通过静态方法获取,你也可以封装一个静态方法出来 @GetMapping(value = "") public String center() { ServletRequestAtt ...
- Python文档字符串设置--在PyCharm中
引言 在PyCharm中,只要我们在一个函数下面输入一个三引号"""并回车,PyCharm会自动帮我们补全文档字符串,如下图所示: 然而,有些小伙伴的pycharm却无法 ...
- C#/.NET/.NET Core技术前沿周刊 | 第 28 期(2025年2.24-2.28)
前言 C#/.NET/.NET Core技术前沿周刊,你的每周技术指南针!记录.追踪C#/.NET/.NET Core领域.生态的每周最新.最实用.最有价值的技术文章.社区动态.优质项目和学习资源等. ...
- thinkphp或laravel连接sql server 2014数据库
问题描述:平时使用最多为mysql数据库,目前有项目数据库为sql server 2014,列出连接全过程 首先下载安装SQLserver的odbc开放数据库链连接,下载地址:https://lear ...