ISP PIPLINE (四) Demosaic
what is the Demosaic?
CMOS/CCD在成像时,CFA(color filter array),CFA过滤不同频段的光,因此,Sensor的输出的RAW数据信号包含了3个通道的信息。人眼对绿色更敏感,因此CFA阵列设计为1/2的G分量,1/4和R和1/4的B分量。

sensor输出为raw格式的数据,此时为单通道原始数据,但是我们的色彩显示设备是每个pixel包含三通道信息的。所以我们需要进行色彩插值,也就是demosaic。
why does Demosaic?
还原现实世界真实的色彩。
how to Demosaic?
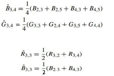
以双线性插值为例(opencv库默认插值):


R(3,4)插值G(3,4)B(3,4)
G(3,3)插值R(3,3)B(3,3)
这样每个pixel可以插值两个pixel组成RGB三通道。
在用opencv和matlab进行插值计算的时候有个小技巧处理边缘像素的插值问题,方法如下:
将边缘填充然后用一套很简单的for循环就可以进行插值计算了,最后再去掉外包边缘就可以了。

我的示例:
我的程序很简单一段,就是按照公式直接进行插值的。
下图是将BGRGbayermode 转换为RGB图。


ISP PIPLINE (四) Demosaic的更多相关文章
- ISP PIPLINE (十四) AE(自动曝光)
自动曝光可以可以通过调节 模拟增益,数字增益,曝光时间,光圈大小来调剂曝光. 曝光在ISP PIPLINE的位置. (先介绍一个额外的知识点: ) gamma compression(也就是de-ga ...
- ISP PIPLINE(零) 知识综述预热
本文为camera isp pipline概述 ISP,即image signal processing.为图像成型做的处理工作.适应不同光学环境下图像的还原. pipline流程如下: 光通过LEN ...
- ISP PIPLINE (六) 3A 综述
前言: 上一篇文章: ISP PIPLINE (五) Denoise 下一篇文章: (1)3A定义包括什么 Iris:自动光圈,根据环境自动调节光圈. 既然讲到光圈,就先看一下光圈是什么,以及它如何影 ...
- ISP PIPLINE (十一) color correction
什么是color correction? 为什么要进行color correction? 转换后的色彩饱和度更加明显,更加符合人眼感官. 如何进行color correction? 下图是步骤: 第一 ...
- ISP PIPLINE (六) AWB
What is WB(white balance)? 人的视觉和神经系统在看到白色物体的时候,基本不受环境的变化而出现严重的错觉.比如阴天,晴天,室内,室外,日光灯,白炽灯等的环境下,人依然会将白纸视 ...
- ISP PIPLINE (二) LensShading Correct
what is the LSC? lens shading 分为:Y-shading , color shading. 在讲LSC之前,我们先来理解一个重要的术语--CRA(Chief ray ang ...
- ISP PIPLINE (七) gamma
what is the gamma? CCD.CMOS成像方式是通过像点中的"硅"感受光线的强弱而获得画面.而硅感光是物理成像,它真实地反应光线强度的变化,来多少就输出多少,因此它 ...
- ISP PIPLINE (一) BLC 以及 线性化
what is the BlackLevel? 暗电流来源1.raw8为例,单个pixel的有效值是0~255,但是实际AD芯片的精度可能无法将电压值很小的一部分转换出来,芯片厂会刻意添加一个固定的偏 ...
- ISP PIPLINE (十五) AF
主流的AF: CDAF, PDAF, laser assist AF(这个只是辅助,在微距或者拍摄纹理不明显的场景下好用). AF的大致原理就是检测图像锐度或者等价于锐度的参数,推动马达实现合焦或者对 ...
随机推荐
- [USACO10DEC] Treasure Chest
题目链接 90 Points:智障的区间 DP--设 dp[i][j] 表示区间 [i, j] 能取的最大价值,但我还是 sd 地开了第三维表示先取还是后取的价值. 交上去以为能 A,结果 #2 开心 ...
- 金融量化分析【day112】:量化平台的使用-第一个策略
一.策略代码 # 导入函数库 import jqdata #初始化函数,设定基准等等 def initialize(context): set_benchmark('000300.XSHG') g.s ...
- NOI-OJ 1.13 ID:5 素数回文数的个数
整体思路 使用埃拉拖色尼算法提前计算出1000以内的素数表. 设计一个回文判断函数isHW(int n),难点在于数字回文的判断.一个简单的方法是将数字n使用sprintf输出在一个数组中,然后从数组 ...
- 第十节:数据批注(DataAnnotationModel)和自定义验证(包括Model级别的验证)
一. 简介 写完上一个章节MVC中的常用特性,迫不及待将该系列补全,该章节主要介绍数据批注(也叫:注解). 一听[数据批注],好高大上的名字,但仔细一看,它们其实是[System.ComponentM ...
- H5取经之路——HTML的基本标签
一.head中的基本标签 1.HTML文档的结构: a.<head>头部部分,b.<body>主体部分 <!DOCTYPE html> <!-- ↑为 ...
- Subsequence(序列自动机模板题)
题目链接:https://nanti.jisuanke.com/t/38232 题目大意:给你一个字符串,然后再给你m个字符串,然后问你在第一个字符串中不连续的子串能不能构成输入的子串. 具体思路:构 ...
- 设计模式一: 单例模式(Singleton)
简介 单例模式是属于创建型模式的一种(另外两种分别是结构型模式,行为型模式).是设计模式中最为简单的一种. 英文单词Singleton的数学含义是"有且仅有一个元素的集合". 从实 ...
- Emmet(以前的Zencoding)的使用
Emmet就是以前的Zencoding div.wrapper#wrapper>div.right+div.left*2>span{nimei$}*3 //. 类名 #id >下面 ...
- jdk1.8新特性 lambda表达式和Stream
一.Lambda 1.lambda : 匿名函数 2.好处:减少打码的冗余,增强匿名函数的可读性 3.语法格式 语法格式一 : 无参数,无返回值 () -> System.out.println ...
- CF1139E Maximize Mex
题目地址:CF1139E Maximize Mex 这其实是一个二分图匹配匈牙利算法的巧妙运用 考虑倒序回答 则由原来的删除改为添加 把 potential 值作为左部,则一共有编号为 \(0~m\) ...