python数学第一天【极限存在定理】
1.基本回忆

2.两边夹定理

推论1. 基本三角函数的极限

2.极限存在定理
单调有界数列必有极限
(1)单调递增有上界数列必有极限
(2)单调递减有下界数列必有极限
推论1: (1+1/n)^n有极限, 证明如下:

推论2: (1+1/x)^x的极限定义为自然数e

3.导数

推论1: 常用函数的导数

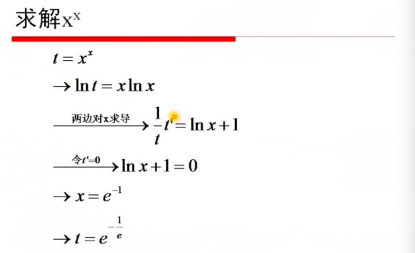
推论2: 求解x^x的值

python数学第一天【极限存在定理】的更多相关文章
- AI之路,第一篇:python数学知识1
python 数学知识1 1,向量: 一个向量是一列数.这些数是有序排列的:通过次序中的索引,可以确定每个单独的数: 2, 矩阵: 由m x n 个数aij(i=1,2,3,…, m; j=1,2, ...
- Python【第一篇】基础介绍
一.本节主要内容 Python介绍 发展史 Python 2 or 3? 安装 Hello World程序 变量 用户输入 模块初识 .pyc文件 数据类型初识 数据运算 表达式if ...else语 ...
- web前端学习python之第一章_基础语法(一)
web前端学习python之第一章_基础语法(一) 前言:最近新做了一个管理系统,前端已经基本完成, 但是后端人手不足没人给我写接口,自力更生丰衣足食, 所以决定自学python自己给自己写接口哈哈哈 ...
- AI之路,第二篇:python数学知识2
第二篇:python数学知识2 线性代数 导入相应的模块: >>> import numpy as np (数值处理模块)>>> import scipy ...
- Python数学建模-02.数据导入
数据导入是所有数模编程的第一步,比你想象的更重要. 先要学会一种未必最佳,但是通用.安全.简单.好学的方法. 『Python 数学建模 @ Youcans』带你从数模小白成为国赛达人. 1. 数据导入 ...
- Python数学函数
1.Python数学函数 1.abs(x):取绝对值,内建函数 2.math.ceil(x):向上取整,在math模块中 3.cmp(x,y):如果 x < y ,返回-1:如果 x == y ...
- 用Python设计第一个游戏 - 零基础入门学习Python002
用Python设计第一个游戏 让编程改变世界 Change the world by program 有些鱼油可能会说,哇,小甲鱼你开玩笑呐!这这这这就上游戏啦?你不打算给我们讲讲变量,分支,循环,条 ...
- python爬虫第一天
python爬虫第一天 太久没折腾爬虫 又要重头开始了....感谢虫师大牛的文章. 接下来的是我的随笔 0x01 获取整个页面 我要爬的是百度贴吧的图,当然也是跟着虫师大牛的思路. 代码如下: #co ...
- python学习第一讲,python简介
目录 python学习第一讲,python简介 一丶python简介 1.解释型语言与编译型语言 2.python的特点 3.python的优缺点 二丶第一个python程序 1.python源程序概 ...
随机推荐
- php 验证身份证号
function validation_filter_id_card($id_card){ if(strlen($id_card)==18){ return idcard_checksum18($id ...
- P2370 yyy2015c01的U盘(二分+背包)
思路:先说一下题意吧.就是给你n个文件大小为v,价值为c, 但是硬盘的大小为S, 而且要存的总价值大于等于p.问每次传输k大小的文件.问k的最大值是多少? 我们以k为二分对象. 直接讲检验函数吧. 假 ...
- AJAX方式发送远程请求报错:No 'Access-Control-Allow-Origin' header
AJAX GET方式发送远程请求,chrome开发者工具console中报错:XMLHttpRequest cannot load http://www.shikezhi.com/ajax/getDa ...
- docker 9 docker的容器命令
有镜像才能创建容器,这是根本的前提 下面我们以下载一个centos镜像来做演示. [root@t-docker chenzx]# docker images REPOSITORY TAG IMAGE ...
- python之type函数
python 的type 函数 的介绍的 下面就是此函数的参数 三个参数的意义 '''type(class_name, base_class_tuple, attribute_dict)cla ...
- Java NIO6:选择器1——理论篇
一.选择器 选择器提供选择执行已经就绪的任务的能力,这使得多元I/O成为了可能,就绪执行和多元选择使得单线程能够有效地同时管理多个I/O通道. 某种程度上来说,理解选择器比理解缓冲区和通道类更困难一些 ...
- ASP.NET Core - 关于Tag Helper值得了解的五点
如果您开发过ASP.NET Core Web应用程序,您应该已经熟悉了Tag Helper.ASP.NET Core应用程序依赖Tag Helper来呈现表单和表单字段是很常见的.所以,一个视图通常包 ...
- Mysql5.5安装
1. 官网下载mysql5.5 下载地址: http://dev.mysql.com/downloads/mysql/5.5.html#downloads 2. 安装mysql5.5 注意,安装之前, ...
- 史上最全面的Spring Boot Cache使用与整合
一:Spring缓存抽象 Spring从3.1开始定义了org.springframework.cache.Cache和org.springframework.cache.CacheManager接口 ...
- Elastic 今日在纽交所上市,股价最高暴涨122%。
10 月 6 日,Elastic 正式在纽约证券交易所上市,股票代码为"ESTC".开盘之后股价直线拉升,最高点涨幅达122%,截止到收盘涨幅回落到94%,意味着上市第一天估值接近 ...