哈夫曼树C++实现详解

哈夫曼树的介绍
Huffman Tree,中文名是哈夫曼树或霍夫曼树,它是最优二叉树。
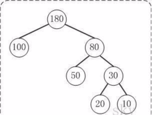
定义:给定n个权值作为n个叶子结点,构造一棵二叉树,若树的带权路径长度达到最小,则这棵树被称为哈夫曼树。 这个定义里面涉及到了几个陌生的概念,下面就是一颗哈夫曼树,我们来看图解答。

(01) 路径和路径长度
定义:在一棵树中,从一个结点往下可以达到的孩子或孙子结点之间的通路,称为路径。通路中分支的数目称为路径长度。若规定根结点的层数为1,则从根结点到第L层结点的路径长度为L-1。
例子:100和80的路径长度是1,50和30的路径长度是2,20和10的路径长度是3。
(02) 结点的权及带权路径长度
定义:若将树中结点赋给一个有着某种含义的数值,则这个数值称为该结点的权。结点的带权路径长度为:从根结点到该结点之间的路径长度与该结点的权的乘积。
例子:节点20的路径长度是3,它的带权路径长度= 路径长度 * 权 = 3 * 20 = 60。
(03) 树的带权路径长度
定义:树的带权路径长度规定为所有叶子结点的带权路径长度之和,记为WPL。
例子:示例中,树的WPL= 1*100 + 2*80 + 3*20 + 3*10 = 100 + 160 + 60 + 30 = 350。
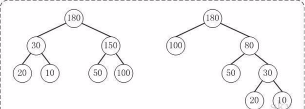
比较下面两棵树

上面的两棵树都是以{10, 20, 50, 100}为叶子节点的树。
左边的树WPL=2*10 + 2*20 + 2*50 + 2*100 = 360
右边的树WPL=350
左边的树WPL > 右边的树的WPL。你也可以计算除上面两种示例之外的情况,但实际上右边的树就是{10,20,50,100}对应的哈夫曼树。至此,应该堆哈夫曼树的概念有了一定的了解了,下面看看如何去构造一棵哈夫曼树。
哈夫曼树的图文解析
假设有n个权值,则构造出的哈夫曼树有n个叶子结点。 n个权值分别设为 w1、w2、…、wn,哈夫曼树的构造规则为:
1. 将w1、w2、…,wn看成是有n 棵树的森林(每棵树仅有一个结点);
2. 在森林中选出根结点的权值最小的两棵树进行合并,作为一棵新树的左、右子树,且新树的根结点权值为其左、右子树根结点权值之和;
3. 从森林中删除选取的两棵树,并将新树加入森林;
4. 重复(02)、(03)步,直到森林中只剩一棵树为止,该树即为所求得的哈夫曼树。
以{5,6,7,8,15}为例,来构造一棵哈夫曼树。

第1步:创建森林,森林包括5棵树,这5棵树的权值分别是5,6,7,8,15。
第2步:在森林中,选择根节点权值最小的两棵树(5和6)来进行合并,将它们作为一颗新树的左右孩子(谁左谁右无关紧要,这里,我们选择较小的作为左孩子),并且新树的权值是左右孩子的权值之和。即,新树的权值是11。 然后,将"树5"和"树6"从森林中删除,并将新的树(树11)添加到森林中。
第3步:在森林中,选择根节点权值最小的两棵树(7和8)来进行合并。得到的新树的权值是15。 然后,将"树7"和"树8"从森林中删除,并将新的树(树15)添加到森林中。
第4步:在森林中,选择根节点权值最小的两棵树(11和15)来进行合并。得到的新树的权值是26。 然后,将"树11"和"树15"从森林中删除,并将新的树(树26)添加到森林中。
第5步:在森林中,选择根节点权值最小的两棵树(15和26)来进行合并。得到的新树的权值是41。 然后,将"树15"和"树26"从森林中删除,并将新的树(树41)添加到森林中。
此时,森林中只有一棵树(树41)。这棵树就是我们需要的哈夫曼树!
哈夫曼树的基本操作
哈夫曼树的重点是如何构造哈夫曼树。本文构造哈夫曼时,用到了以前介绍过的"(二叉堆)最小堆"。下面对哈夫曼树进行讲解。
1. 基本定义
 GIF
GIF
template <class T>class HuffmanNode{ public: T key; // 权值 HuffmanNode *left; // 左孩子 HuffmanNode *right; // 右孩子 HuffmanNode *parent;// 父结点 HuffmanNode(){} HuffmanNode(T value, HuffmanNode *l, HuffmanNode *r, HuffmanNode *p): key(value),left(l),right(r),parent(p) {}};
HuffmanNode是哈夫曼树的节点类。
template <class T>class Huffman { private: HuffmanNode<T> *mRoot; // 根结点 public: Huffman(); ~Huffman(); // 前序遍历"Huffman树" void preOrder(); // 中序遍历"Huffman树" void inOrder(); // 后序遍历"Huffman树" void postOrder(); // 创建Huffman树 void create(T a[], int size); // 销毁Huffman树 void destroy(); // 打印Huffman树 void print(); private: // 前序遍历"Huffman树" void preOrder(HuffmanNode<T>* tree) const; // 中序遍历"Huffman树" void inOrder(HuffmanNode<T>* tree) const; // 后序遍历"Huffman树" void postOrder(HuffmanNode<T>* tree) const; // 销毁Huffman树 void destroy(HuffmanNode<T>* &tree); // 打印Huffman树 void print(HuffmanNode<T>* tree, T key, int direction);};
Huffman是哈夫曼树对应的类,它包含了哈夫曼树的根节点和哈夫曼树的相关操作。
2. 构造哈夫曼树
/* * 创建Huffman树 * * 参数说明: * a 权值数组 * size 数组大小 * * 返回值: * Huffman树的根节点 */template <class T>void Huffman<T>::create(T a[], int size){ int i; HuffmanNode<T> *left, *right, *parent; MinHeap<T> *heap = new MinHeap<T>(); // 建立数组a对应的最小堆 heap->create(a, size); for(i=0; i<size-1; i++) { left = heap->dumpFromMinimum(); // 最小节点是左孩子 right = heap->dumpFromMinimum(); // 其次才是右孩子 // 新建parent节点,左右孩子分别是left/right; // parent的大小是左右孩子之和 parent = new HuffmanNode<T>(left->key+right->key, left, right, NULL); left->parent = parent; right->parent = parent; // 将parent节点数据拷贝到"最小堆"中 if (heap->copyOf(parent)!=0) { cout << "插入失败!" << endl << "结束程序" << endl; destroy(parent); parent = NULL; break; } } mRoot = parent; // 销毁最小堆 heap->destroy(); delete heap;}
首先通过heap->create(a, size)来创建最小堆。最小堆构造完成之后,进入for循环。
每次循环时:
(01) 首先,将最小堆中的最小节点拷贝一份并赋值给left,然后重塑最小堆(将最小节点和后面的节点交换位置,接着将"交换位置后的最小节点"之前的全部元素重新构造成最小堆);
(02) 接着,再将最小堆中的最小节点拷贝一份并将其赋值right,然后再次重塑最小堆;
(03) 然后,新建节点parent,并将它作为left和right的父节点;
(04) 接着,将parent的数据复制给最小堆中的指定节点。
在二叉堆中已经介绍过堆,这里就不再对堆的代码进行说明了。

哈夫曼树C++实现详解的更多相关文章
- java实现哈夫曼树进行文件加解压
		目录 1.哈夫曼树简述 2.构造树的节点 3.构造哈夫曼树的类(压缩) 4.构造哈夫曼树的类(解压) 5.整体工程文件(包括测试类) 6.结果 7.参考链接 1.哈夫曼树简述 给定n个权值作为n个叶子 ... 
- 数据结构图文解析之:哈夫曼树与哈夫曼编码详解及C++模板实现
		0. 数据结构图文解析系列 数据结构系列文章 数据结构图文解析之:数组.单链表.双链表介绍及C++模板实现 数据结构图文解析之:栈的简介及C++模板实现 数据结构图文解析之:队列详解与C++模板实现 ... 
- 哈夫曼树(三)之 Java详解
		前面分别通过C和C++实现了哈夫曼树,本章给出哈夫曼树的java版本. 目录 1. 哈夫曼树的介绍 2. 哈夫曼树的图文解析 3. 哈夫曼树的基本操作 4. 哈夫曼树的完整源码 转载请注明出处:htt ... 
- 哈夫曼树(二)之 C++详解
		上一章介绍了哈夫曼树的基本概念,并通过C语言实现了哈夫曼树.本章是哈夫曼树的C++实现. 目录 1. 哈夫曼树的介绍 2. 哈夫曼树的图文解析 3. 哈夫曼树的基本操作 4. 哈夫曼树的完整源码 转载 ... 
- 哈夫曼树(一)之 C语言详解
		本章介绍哈夫曼树.和以往一样,本文会先对哈夫曼树的理论知识进行简单介绍,然后给出C语言的实现.后续再分别给出C++和Java版本的实现:实现的语言虽不同,但是原理如出一辙,选择其中之一进行了解即可.若 ... 
- 哈夫曼树详解——PHP代码实现
		在介绍哈夫曼树之前需要先了解一些专业术语 路径和路径长度 在一棵树中,从一个结点往下可以达到的孩子或孙子结点之间的通路,称为路径.通路中分支的数目称为路径长度.若规定根结点的层数为1,则从根结点到第L ... 
- word2vec 中的数学原理二  预备知识   霍夫曼树
		主要参考: word2vec 中的数学原理详解 自己动手写 word2vec 编码的话,根是不记录在编码中的 这一篇主要讲的就是霍夫曼树(最优二叉树)和编码. ... 
- Alink漫谈(十六) :Word2Vec源码分析 之 建立霍夫曼树
		Alink漫谈(十六) :Word2Vec源码分析 之 建立霍夫曼树 目录 Alink漫谈(十六) :Word2Vec源码分析 之 建立霍夫曼树 0x00 摘要 0x01 背景概念 1.1 词向量基础 ... 
- java实现哈弗曼树和哈夫曼树压缩
		本篇博文将介绍什么是哈夫曼树,并且如何在java语言中构建一棵哈夫曼树,怎么利用哈夫曼树实现对文件的压缩和解压.首先,先来了解下什么哈夫曼树. 一.哈夫曼树 哈夫曼树属于二叉树,即树的结点最多拥有2个 ... 
随机推荐
- idea在debug模式下的启动特别慢?
			程序执行到这里时,一直卡着不动? 原因可能是在方法上打了断点导致的: 将方法上的断点去掉,点击[Done]即可. 
- 【ADO.NET基础-Session】Session的基本应用
			在服务端存储状态的对象:Session和Application 在客户端存储状态的对象:Cookie 1.Session:每个独立的浏览器都会创建一个独立的Session,不是一台电脑一个Sessio ... 
- 如何提高scroll事件的性能
			1. chrome devtool 是诊断页面滚动性能的有效工具 2. 提升滚动时性能,就是要达到fps高且稳. 3. 具体可以从以下方面着手 使用web worker分离无页面渲染无关的逻辑计算 触 ... 
- asp.netcore 自动挡Docker Nginx Redis(滴滴滴,自动挡)
			前言 上一章介绍了Docker通过多条命令创建启动运行Docker容器,由此可见这样一个个去创建单独的容器也是相当麻烦的,比如要在某个复杂项目中用DB.缓存.消息等等,这样我们还要去一个个再创建,为此 ... 
- Activiti(1) - TaskRuntime API 入门
			目录 TaskRuntime API pom.xml 注册TaskRuntime实例 角色与分组 任务事件监听器 DemoApplication 源码 Activiti 是一个自动化工作流框架.它能帮 ... 
- 地图的标注Marker
			(1)在point处添加标注:var marker = new BMap.Marker(point); (2)添加覆盖物:map.addOverlay(marker); (3)激活标注的拖拽功能:ma ... 
- Maven配置JRE版本
			Maven配置JRE版本 apache-maven-3.5.0\conf\settings.xml <profiles> <profile> <id>develop ... 
- java的日期时间处理(待更新)
			1. /* * 将时间转换为时间戳 */ public static String dateToStamp(String s) throws ParseExcepti ... 
- Hexo 博客快速整合公众号导流工具,不用互推也能实现粉丝躺增!
			readmore 插件简介 Hexo 整合 OpenWrite 平台的 readmore 插件,实现博客的每一篇文章自动增加阅读更多效果,关注公众号后方可解锁全站文章,从而实现博客流量导流到微信公众号 ... 
- 安装web3失败问题
			① 首先可以先通过 npm cache verify 清理下缓存,在进行安装 ② 如果还是安装失败可以尝试 --- npm install web3@^0.20.0 或者 npm install ... 
