01-面试必会-JAVA基础篇
1. Final 有什么用?
展开查看
被 final 修饰的类不可以被继承
被 final 修饰的方法不可以被重写
被 final 修饰的变量不可以被改变,
被 final 修饰不可变的是变量的引用,而不是引用指向的内容, 引用指向的内容是可以改变的
2. 什么是重载(Overload)和重写(Override) ?
展开查看
重载:发生在同一个类中,方法名相同参数列表不同(参数类型不同、个数不同、顺序不同),与 方法返回值和访问修饰符无关,即重载的方法不能根据返回类型进行区分
重写:发生在父子类中,方法名、参数列表必须相同,返回值小于等于父类,抛出的异常小于等于 父类,访问修饰符大于等于父类(里氏代换原则);如果父类方法访问修饰符为 private 则子类中 就能是重写。
3. 重载的方法能否根据返回类型进行区分?
展开查看
方法重载不可以根据返回类型区分
4. == 和 equals 的区别是什么
展开查看
**== :** 它的作用是判断两个对象的地址是不是相等。即,判断两个对象是不是同一个对象。(基本数 据类型 == 比较的是值,引用数据类型 == 比较的是内存地址)
equals() : 它的作用也是判断两个对象是否相等。
5. 什么是反射机制?
展开查看
JAVA 反射机制是在运行状态中,对于任意一个类,都能够知道这个类的所有属性和方法;对于任 意一个对象,都能够调用它的任意一个方法和属性;这种动态获取的信息以及动态调用对象的方法 的功能称为 java 语言的反射机制。
6. 反射机制优缺点
展开查看
优点: 运行期类型的判断,动态加载类,提高代码灵活度。
缺点: 性能瓶颈:反射相当于一系列解释操作,通知 JVM 要做的事情,性能比直接的 java 代码要 慢很多
7. 在你进行项目开发的过程中有没有用到过反射
展开查看
在我们的项目中经常会使用反射 + 自定义注解的方式去实现一些功能 , 例如 :
- 在前后端交互的时候, 后端 Long 类型返回前端后会产生精度丢失 , 我们的处理方式就是在服务端, 通过配置修改 Jackson 的序列化规则, 将一些 Long 类型字段转化为字符串返回给前端, 这个时候我们自定义了一个@IdEncrpt 注解 , 通过反射获取类的属性, 判断属性上是否添加了@IdEncrpt 注解, 如果添加了 , 就会通过反射获取属性值, 转化为字符串
- 在整合 EMQ 的时候 , 为了能够方便的接收订阅消息, 我们自定义了一个@Topic 注解 , 作用在类上 , 之后我们通过反射获取类的字节码, 并且获取类上的@Topic 注解, 读取到里面定义的主题 , 通过策略模式将不同主题的消息分发到不同的处理器中
- 除了上述之外, 在我们项目开发中经常使用的一些框架, 例如 : Mybatis , Spring , SpringMVC 等, 以及一些常用的工具库 common-utils , hutool 工具库等都大量使用到了反射机制
8. String 和 StringBuffer、StringBuilder 的区别是什么?
展开查看
**可变性 :** String 类中使用字符数组保存字符串,所以 string 对象是不可变 的。
StringBuilder 与 StringBuffer 这两种对象都是可变的。
线程安全性 : String 中的对象是不可变的,也就可以理解为常量,线程安全。StringBuffer 对方法加了同步锁或者对调用的方法加了同 步锁,所以是线程安全的。StringBuilder 并没有对方法进行加同步锁,所以是非线程安全的。
性能 : 每次对 String 类型进行改变的时候,都会生成一个新的 String 对象,然后将指针指向新的 String 对 象。StringBuffer 每次都会对 StringBuffer 对象本身进行操作,而不是生成新的对象并改变对象引 用。
StirngBuilder 相比使用 StringBuffer 而言效率更高
9. java 常见的集合类有哪些
展开查看
Map 接口和 Collection 接口是所有集合框架的父接口:
- Collection 接口的子接口包括:Set 接口和 List 接口
- Map 接口的实现类主要有:HashMap、TreeMap、Hashtable、ConcurrentHashMap 以及 Properties 等
- Set 接口的实现类主要有:HashSet、TreeSet、LinkedHashSet 等
- List 接口的实现类主要有:ArrayList、LinkedList、Stack 以及 Vector 等

10. 常用的线程安全的类有哪些 ?
展开查看
1. Vector:就比Arraylist多了个 synchronized (线程安全),因为效率较低,现在已经不太建议使 用。
2. hashTable:就比hashMap多了个synchronized (线程安全),不建议使用。
3. ConcurrentHashMap:是Java5中支持高并发、高吞吐量的线程安全HashMap实现
11. ArrayList 和 LinkedList 的区别是什么?
展开查看
1. 数据结构实现:ArrayList 是动态数组的数据结构实现,而 LinkedList 是双向链表的数据结构实 现。
随机访问效率:ArrayList 比 LinkedList 在随机访问的时候效率要高,因为 LinkedList 是线性的数 据存储方式,所以需要移动指针从前往后依次查找。
增加和删除效率:在非首尾的增加和删除操作,LinkedList 要比 ArrayList 效率要高,因为 ArrayList 增删操作要影响数组内的其他数据的下标。
内存空间占用:LinkedList 比 ArrayList 更占内存,因为 LinkedList 的节点除了存储数据,还存储 了两个引用,一个指向前一个元素,一个指向后一个元素。
线程安全:ArrayList 和 LinkedList 都是不同步的,也就是不保证线程安全;
12. 说一下 HashMap 的实现原理?
展开查看
HashMap 的数据结构: HashMap 实际上是一个“链表散列”的数据结构,即数组和链表的结合体。
HashMap 基于 Hash 算法实现的
- 当我们往 HashMap 中 put 元素时,利用 key 的 hashCode 重新 hash 计算出当前对象的元素在数 组中的下标
- 存储时,如果出现 hash 值相同的 key,此时有两种情况。
- 如果 key 相同,则覆盖原始值;
- 如果 key 不同(出现冲突),则将当前的 key-value 放入链表中
- 获取时,直接找到 hash 值对应的下标,在进一步判断 key 是否相同,从而找到对应值。
HashMap JDK1.8 之前
JDK1.8 之前采用的是拉链法。拉链法:将链表和数组相结合。也就是说创建一个链表数组,数组中每一格就是一个链表。若遇到哈希冲突,则将冲突的值加到链表中即可。

HashMap JDK1.8 之后
相比于之前的版本,jdk1.8 在解决哈希冲突时有了较大的变化,当链表长度大于阈值(默认为 8) 时,将链表转化为红黑树,以减少搜索时间。扩容 resize( ) 时,红黑树拆分成的 树的结点数小于等于临界值 6 个,则退化成链表。

13. HashMap 的 put 方法的具体流程?
展开查看

- 判断键值对数组 table[i]是否为空或为 null,否则执行 resize()进行扩容;
- 根据键值 key 计算 hash 值得到插入的数组索引 i,如果 table[i]==null,直接新建节点添加,转向 ⑥,如果 table[i]不为空,转向 ③;
- 判断 table[i]的首个元素是否和 key 一样,如果相同直接覆盖 value,否则转向 ④,这里的相同指的 是 hashCode 以及 equals;
- 判断 table[i] 是否为 treeNode,即 table[i] 是否是红黑树,如果是红黑树,则直接在树中插入键值 对,否则转向 5;
- 遍历 table[i],判断链表长度是否大于 8,大于 8 的话把链表转换为红黑树,在红黑树中执行插入操 作,否则进行链表的插入操作;遍历过程中若发现 key 已经存在直接覆盖 value 即可;
- 插入成功后,判断实际存在的键值对数量 size 是否超多了最大容量 threshold,如果超过,进行扩 容。
14. 讲一讲 HashMap 的扩容机制
展开查看
1. 在 jdk1.8 中,resize 方法是在 hashmap 中的键值对大于阀值(0.75)时或者初始化时,就调用 resize 方法进 行扩容;
2. 每次扩展的时候,都是扩展 2 倍;
3. 扩展后 Node 对象的位置要么在原位置,要么移动到原偏移量两倍的位置。
在 putVal()中,我们看到在这个函数里面使用到了 2 次 resize()方法,resize()方法表示的在进行第一 次初始化时会对其进行扩容,或者当该数组的实际大小大于其临界值值(第一次为 12) , 这个时候在扩 容的同时也会伴随的桶上面的元素进行重新分发,这也是 JDK1.8 版本的一个优化的地方,在 1.7 中,扩容之后需要重新去计算其 Hash 值,根据 Hash 值对其进行分发,但在 1.8 版本中,则是根据 在同一个桶的位置中进行判断(e.hash & oldCap)是否为 0,重新进行 hash 分配后,该元素的位置 要么停留在原始位置,要么移动到原始位置+增加的数组大小这个位置上
15. ConcurrentHashMap 底层具体实现知道吗?
展开查看
ConcurrentHashMap 是一种线程安全的高效 Map 集合
底层数据结构:
JDK1.7 的 ConcurrentHashMap 底层采用 分段的数组+链表 实现,
JDK1.8 采用的数据结构跟 HashMap1.8 的结构一样,数组+链表/红黑二叉树。
JDK1.7
首先将数据分为一段一段的存储,然后给每一段数据配一把锁,当一个线程占用锁访问其中一个段 数据时,其他段的数据也能被其他线程访问。
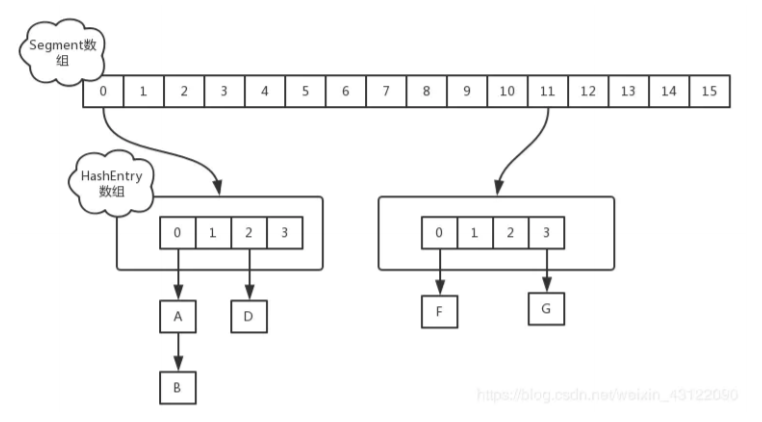
在 JDK1.7 中,ConcurrentHashMap 采用 Segment + HashEntry 的方式进行实现

一个 ConcurrentHashMap 里包含一个 Segment 数组。Segment 的结构和 HashMap 类似,是一 种数组和链表结构,一个 Segment 包含一个 HashEntry 数组,每个 HashEntry 是一个链表结构 的元素,每个 Segment 守护着一个 HashEntry 数组里的元素,当对 HashEntry 数组的数据进行修 改时,必须首先获得对应的 Segment 的锁。
Segment 是一种可重入的锁 ReentrantLock,每个 Segment 守护一个 HashEntry 数组里得元 素,当对 HashEntry 数组的数据进行修改时,必须首先获得对应的 Segment 锁。
JDK1.8
在 JDK1.8 中,放弃了 Segment 臃肿的设计,取而代之的是采用 Node + CAS + Synchronized 来保 证并发安全进行实现,synchronized 只锁定当前链表或红黑二叉树的首节点,这样只要 hash 不冲 突,就不会产生并发 , 效率得到提升

16. 创建线程的四种方式
展开查看
1. 继承 Thread 类;
实现 Runnable 接口;
实现 Callable 接口;
使用匿名内部类方式
17. runnable 和 callable 有什么区别
展开查看
- Runnable 接口 run 方法无返回值;Callable 接口 call 方法有返回值,是个泛型,和 Future、 FutureTask 配合可以用来获取异步执行的结果
- Runnable 接口 run 方法只能抛出运行时异常,且无法捕获处理;Callable 接口 call 方法允许抛出 异常,可以获取异常信息 注:Callalbe 接口支持返回执行结果,需要调用 FutureTask.get()得到, 此方法会阻塞主进程的继续往下执行,如果不调用不会阻塞。
18. 加锁的方式有哪些 ?
展开查看
使用 synchronized 关键字
使用 Lock 锁
synchronized 和 Lock 有什么区别 ?
首先 synchronized 是 Java 内置关键字,在 JVM 层面,Lock 是个 Java 类;
synchronized 可以给类、方法、代码块加锁;而 lock 只能给代码块加锁。
synchronized 不需要手动获取锁和释放锁,使用简单,发生异常会自动释放锁,不会造成死锁; 而 lock 需要自己加锁和释放锁,如果使用不当没有 unLock()去释放锁就会造成死锁。
通过 Lock 可以知道有没有成功获取锁,而 synchronized 却无法办到。
19. 如果你提交任务时,线程池队列已满,这时会发生什么
展开查看
有俩种可能:
- 如果使用的是无界队列 LinkedBlockingQueue,也就是无界队列的话,没关系,继续添加任务到 阻塞队列中等待执行,因为 LinkedBlockingQueue 可以近乎认为是一个无穷大的队列,可以无限存放 任务
- 如果使用的是有界队列比如 ArrayBlockingQueue,任务首先会被添加到 ArrayBlockingQueue 中 ArrayBlockingQueue 满了,会根据 maximumPoolSize 的值增加线程数量,如果增加了线程数量 还是处理不过来,ArrayBlockingQueue 继续满,那么则会使用拒绝策略 RejectedExecutionHandler 处理满了的任务,默认是 AbortPolicy
19. 在你们的项目中有没有使用到线程池
展开查看
我们的项目中很多地方使用了线程池 , 使用的场景经常有如下几种情况
业务层处理分多个业务线 , 多条业务线的优先级有高有低 , 使用异步线程池执行优先级较低的业务
比如: 搜索历史记录的异步保存 , 用户行为数据异步入库
任务很多很重 , 比如说 : 现在有 1000w 数据需要进行统计运算 (10 个线程 每个线程计算 100w 数据 , 计算完毕之后把 10 个线程结算结果合并即可)
每天晚上计算运营统计数据 , 售货机补货数据计算
20. 你了解的线程池的种类有哪些 ?
展开查看
1. newCachedThreadPool 创建一个可缓存线程池,如果线程池长度超过处理需要,可灵活回 收空闲线程,若无可回收,则新建线程。
newFixedThreadPool 创建一个定长线程池,可控制线程最大并发数,超出的线程会在队列 中等待。
newScheduledThreadPool 创建一个定长线程池,支持定时及周期性任务执行。
newSingleThreadExecutor 创建一个单线程化的线程池,它只会用唯一的工作线程来执行任 务,保证所有任务按照指定顺序(FIFO, LIFO, 优先级)执行。
21. 线程池的核心参数有哪些 ?
展开查看
corePoolSize 核心线程数量
maximumPoolSize 最大线程数量
keepAliveTime 线程保持时间,N 个时间单位
unit 时间单位(比如秒,分)
workQueue 阻塞队列
threadFactory 线程工厂
handler 线程池拒绝策略
22. 你们项目中使用线程池, 核心线程数如何配置 ?
展开查看
1. IO 密集型任务 : 核心线程数的数量 约等于 CPU 核心数 \* 2-3 倍
2. 计算密集型任务 : 核心线程数 约等于 CPU 核心数+1
23.线程池的执行原理知道嘛
展开查看

提交一个任务到线程池中,线程池的处理流程如下:
- 判断线程池里的核心线程是否都在执行任务,如果不是(核心线程空闲或者还有核心线程没有被创建)则创建一个新的工作线程来执行任务。如果核心线程都在执行任务,则进入下个 流程。
- 线程池判断工作队列是否已满,如果工作队列没有满,则将新提交的任务存储在这个工作队 列里。如果工作队列满了,则进入下个流程。
- 判断线程池里的线程是否都处于工作状态,如果没有,则创建一个新的工作线程来执行任 务。如果已经满了,则交给饱和策略来处理这个任务。
24. 新建 T1、T2、T3 三个线程,如何保证它们按顺序执行?
展开查看
用 join 方法
25. 讲一讲 JVM 的组成
展开查看

JVM 包含两个子系统和两个组件:
- 两个子系统为 Class loader(类装载)、Execution engine(执行引 擎);
- 两个组件为 Runtime data area(运行时数据区)、Native Interface(本地接口)。
- Class loader(类装载):根据给定的全限定名类名(如:java.lang.Object)来装载 class 文件到 Runtime data area 中的 method area。
- Execution engine(执行引擎):执行 classes 中的指令。
- Native Interface(本地接口):与 native libraries 交互,是其它编程语言交互的接口。
- Runtime data area(运行时数据区域):这就是我们常说的 JVM 的内存。
26. JAVA 代码在 JVM 是怎么执行的
展开查看
首先通过编译器把 Java 代码转换成字节码,类加载器(ClassLoader)再把字节码加载到 内存中,将其放在运行时数据区(Runtime data area)的方法区内,而字节码文件只是 JVM 的一 套指令集规范,并不能直接交给底层操作系统去执行,因此需要特定的命令解析器执行引擎 (Execution Engine),将字节码翻译成底层系统指令,再交由 CPU 去执行,而这个过程中需要 调用其他语言的本地库接口(Native Interface)来实现整个程序的功能。
27. 说一下 JVM 运行时数据区
展开查看
Java 虚拟机在执行 Java 程序的过程中会把它所管理的内存区域划分为若干个不同的数据区域。这 些区域都有各自的用途,以及创建和销毁的时间,有些区域随着虚拟机进程的启动而存在,有些区 域则是依赖线程的启动和结束而建立和销毁。Java 虚拟机所管理的内存被划分为如下几个区域

程序计数器(Program Counter Register):当前线程所执行的字节码的行号指示器,字节码解 析器的工作是通过改变这个计数器的值,来选取下一条需要执行的字节码指令,分支、循环、跳 转、异常处理、线程恢复等基础功能,都需要依赖这个计数器来完成; 为什么要线程计数器?因为线程是不具备记忆功能
Java 虚拟机栈(Java Virtual Machine Stacks):每个方法在执行的同时都会在 Java 虚拟机栈中创 建一个栈帧(Stack Frame)用于存储局部变量表、操作数栈、动态链接、方法出口等信息; 栈帧就是 Java 虚拟机栈中的下一个单位
本地方法栈(Native Method Stack):与虚拟机栈的作用是一样的,只不过虚拟机栈是服务 Java 方法的,而本地方法栈是为虚拟机调用 Native 方法服务的; Native 关键字修饰的方法是看不到的,Native 方法的源码大部分都是 C 和 C++ 的代码
Java 堆(Java Heap):Java 虚拟机中内存最大的一块,是被所有线程共享的,几乎所有的对象实例都在这里分配内存;
方法区(Methed Area):用于存储已被虚拟机加载的类信息、常量、静态变量、即时编译后的 代码等数据。
28. 堆栈的区别是什么?
展开查看

29. 什么是类加载器,类加载器有哪些?
展开查看
主要有一下四种类加载器:
- 启动类加载器(Bootstrap ClassLoader)用来加载 java 核心类库,无法被 java 程序直接引用。
- 扩展类加载器(extensions class loader):它用来加载 Java 的扩展库。Java 虚拟机的实现会提 供一个扩展库目录。该类加载器在此目录里面查找并加载 Java 类。
- 系统类加载器(system class loader):它根据 Java 应用的类路径(CLASSPATH)来加载 Java 类。一般来说,Java 应用的类都是由它来完成加载的。可以通过 ClassLoader.getSystemClassLoader()来获取它。
- 用户自定义类加载器,通过继承 java.lang.ClassLoader 类的方式实现
30. 什么是双亲委派模型?
展开查看
双亲委派模型:如果一个类加载器收到了类加载的请求,它首先不会自己去加载这个类,而是把这 个请求委派给父类加载器去完成,每一层的类加载器都是如此,这样所有的加载请求都会被传送到 顶层的启动类加载器中,只有当父加载无法完成加载请求(它的搜索范围中没找到所需的类)时, 子加载器才会尝试去加载类。
总结就是: 当一个类收到了类加载请求时,不会自己先去加载这个类,而是将其委派给父类,由父类去加 载,如果此时父类不能加载,反馈给子类,由子类去完成类的加载。
31. 对于 java 的 Stream 流有使用过嘛 , 讲一讲 stream 流中的常用方法
展开查看

32. jdk8 有哪些新特性
- 函数式方法
- 方法引用
- stream 流
- optional
- .....
01-面试必会-JAVA基础篇的更多相关文章
- 003java面试笔记——【java基础篇】从团八百失败面试总结的java面试题(未完待续)
8.java 线程 1)线程概念,线程与进程 线程:线程是“进程”中某个单一顺序的控制流.也被称为轻量进程.线程是进程中的实体,一个进程可以拥有多个线程,一个线程必须有一个父进程.线 ...
- 金三银四跳槽季,BAT美团滴滴java面试大纲(带答案版)之一:Java基础篇
Java基础篇: 题记:本系列文章,会尽量模拟面试现场对话情景, 用口语而非书面语 ,采用问答形式来展现.另外每一个问题都附上“延伸”,这部分内容是帮助小伙伴们更深的理解一些底层细节的补充,在面试中可 ...
- 【Java面试】java基础篇
总结个人的面试经历以及一些网上的的面试题,以供以后面试与巩固java基础. 1.String.StringBuilder和StringBuffer的区别 String用于存储不可变字符串的类,Stri ...
- java基础篇---I/O技术
java基础篇---I/O技术 对于任何程序设计语言而言,输入输出(I/O)系统都是比较复杂的而且还是比较核心的.在java.io.包中提供了相关的API. java中流的概念划分 流的方向: 输 ...
- java基础篇---HTTP协议
java基础篇---HTTP协议 HTTP协议一直是自己的薄弱点,也没抽太多时间去看这方面的内容,今天兴致来了就在网上搜了下关于http协议,发现有园友写了一篇非常好的博文,博文地址:(http: ...
- java基础篇---I/O技术(三)
接上一篇java基础篇---I/O技术(二) Java对象的序列化和反序列化 什么叫对象的序列化和反序列化 要想完成对象的输入或输出,还必须依靠对象输出流(ObjectOutputStream)和对象 ...
- Java基础篇 - 强引用、弱引用、软引用和虚引用
Java基础篇 - 强引用.弱引用.软引用和虚引用 原创零壹技术栈 最后发布于2018-09-09 08:58:21 阅读数 4936 收藏展开前言Java执行GC判断对象是否存活有两种方式其中一种是 ...
- java基础篇 之 构造器内部的多态行为
java基础篇 之 构造器内部的多态行为 我们来看下下面这段代码: public class Main { public static void main(String[] args) { new ...
- 小白—职场之Java基础篇
java基础篇 java基础 目录 1.java是一种什么语言,jdk,jre,jvm三者的区别 2.java 1.5之后的三大版本 3.java跨平台及其原理 4.java 语言的特点 5.什么是字 ...
- java基础篇1
JAVA基础篇1 注释 单行注释 //这是一个单行注释,由两个斜杠组成,不能嵌套多行注释 多行注释 /*这是一个 多行注释 ,//里面不能嵌套多行注释, 但是可以嵌套单行注释*/ 文档注释 /**ja ...
随机推荐
- 【Vue原理模拟】模拟Vue实现响应式数据
1. 预期效果 当数据变动时,触发自定义的回调函数. 2. 思路 对对象 object 的 setter 进行设置,使 setter 在赋值之后执行回调函数 callback(). 3.细节 3.1 ...
- Kubernetes集群调度增强之超容量扩容
作者:京东科技 徐宪章 1 什么是超容量扩容 超容量扩容功能,是指预先调度一定数量的工作节点,当业务高峰期或者集群整体负载较高时,可以使应用不必等待集群工作节点扩容,从而迅速完成应用横向扩容.通常情况 ...
- SpringBoot应用集成微服务组件Nacos
目录 springboot与微服务组件nacos Nacos服务快速启动 STS4 开发工具 Maven 环境配置 STS4开发工具引入Maven配置 Maven Repo配置阿里云镜像源 Sprin ...
- vue中watch的详细用法(深度侦听)
vsCode插件 在vue中,使用watch来响应数据的变化.watch的用法大致有三种.下面代码是watch的一种简单的用法: <input type="text" v-m ...
- 如何用 KMP 偏序 Z 函数
KMP 算法求解字符串匹配的过程中 \(next\) 数组有着繁多的应用,主要是可以帮我们求 border. 然而用 \(s\) 串匹配 \(t\) 串产生的 \(f\) 数组应用相对较少. \(f\ ...
- etcd:增加30%的写入性能
etcd:增加30%的写入性能 本文最终的解决方式很简单,就是将现有卷升级为支持更高IOPS的卷,但解决问题的过程值得推荐. 译自:etcd: getting 30% more write/s 我们的 ...
- 2022-02-17:寻找最近的回文数。 给定一个表示整数的字符串 n ,返回与它最近的回文整数(不包括自身)。如果不止一个,返回较小的那个。 “最近的”定义为两个整数差的绝对值最小。 示例 1: 输
2022-02-17:寻找最近的回文数. 给定一个表示整数的字符串 n ,返回与它最近的回文整数(不包括自身).如果不止一个,返回较小的那个. "最近的"定义为两个整数差的绝对值最 ...
- 创建对象create()、批量创建bulk_create()、创建或更新update_or_create()、更新对象update()、更新或创建update_or_create()、删除对象delete()使用filter过滤、判断是否存在exists()、统计个数count()、聚合aggregate()
创建对象create().批量创建bulk_create().创建或更新update_or_create().更新对象update().更新或创建update_or_create().删除对象dele ...
- AHB2APB bridge IP简介
背景介绍 AMBA总线规范是由ARM公司提出的一种开放性的片上总线标准,它独立于处理器和工艺技术,具有高速度.低功耗等特点.AMBA规范中包括了AHB系统总线和APB外设总线. AHB主要用于高性能模 ...
- dnu
背景 作为一个喜欢搬运 YouTube 视频的网友,我发现将视频下载下来再上传到 B 站十分繁琐,因此我决定开发一个小工具,能够方便快捷地将 YouTube 视频下载并上传至 B 站,以节省我的时间和 ...