基于TDA4863-2的单级PFC反激LED电源设计与仿真
LED是一个非线性器件,正向电压的微小变化会引起电流的巨大变化;LED是一个半导体二极管,其伏安特性随温度变化而变化(-2mV/℃),假如温度升高,在恒压驱动下LED的电流会增加。长期超过额定电流工作,会大大缩短LED的使用寿命。而LED恒流主要目的是当输入或输出电压变化时,确保其工作电流不变。为了保证LED产品的优势,针对不同功率段的LED电源,必须选择合适的拓扑结构使LED驱动电源达到高效率,高可靠性,满足安规,EMI相关标准及低成本要求。对于15W-90W中小功率LED驱动电源通常选用结构简单的反激式拓扑。根据EN61000-3-2的C类标准,所有照明产品必须达到其要求,使得单级PFC反激架构在LED照明市场得到了迅速发展,由于其功率转换效率高系统成本低,体积小在LED照明领域获得了广泛的应用。
1工作原理分析与设计
1.1TDA4863-2芯片简介
TDA4863-2是英飞凌半导体公司(Infineon)推出的一款功率因数校正(PFC)控制器[1]。它工作于准谐振模式,功率因素可以达到接近1,启动电流小,内部集成图腾柱可以驱动大电流MOSFET。TDA4863-2嵌入了电流总谐波失真(THD)优化电路,在全电压输入条件下也可以有效控制AC输入电流的交越失真和误差放大器的输出纹波失真,从而提高功率因数,降低输入电流总谐波失真。该芯片主要应用于前级PFC校正电路,本文中将其应用于单级PFC反激架构。
1.2基于TDA4863-2单级反激LED驱动电源设计与原理分析
TDA4863-2的单级PFC反激电源原理图如图1所示,交流电压经过EMI和整流单元后流入电容C1,电容C1的容量可以选择很小的金属化薄膜电容,使得C1两端的电压100Hz/120Hz波形(取决于输入电压频率),该电压可近似表示为:

其中θ=ωt,VPK为输入电压与2的平方根乘积。

图1:临界模式单级PFC反激式电路结构图
该电压经过R5,R6电阻分压后流入IC的MULT脚,该电压与COMP脚的信号的乘积为内部乘法器的输出信号Vref。乘法器输出的信号也是经增益系数变换后的全波整流正弦半波(误差信号),而且被用作输入电流的参考。
在开关管导通时刻,初级绕组NP中的电感电流IPKP线性上升,CS引脚检测R19电阻电压,当R19两端电压Vs上升到Vs=Vref时,此时R19两端电压Vs=IPKP*R19,GD输出低电平信号,使开关管Q4关断,则

在图2中的波形,Vref是乘法器输出信号,该信号被送到内部比较器同相输入端,负相输入端则连接到CS端,当GD输出高电压时,MOSFET导通,电感电流斜升,直到信号达到Vref的电平。在此点上,内部逻辑电路会改变状态并使GD输出低电平,断开MOSFET,电流斜降直到降为零。ZCD零电流检测电路则测量辅助绕组(Nb)两端的电压,当它的电压降到ZCD阈值1.5V时,在此刻,GD输出高电平信号,电流再次斜升。
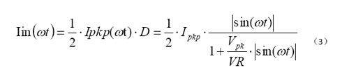
由图2可以看出,初级电感电流是三角波变化,峰值电流包络为正弦波,整流桥后的电流是整个开关周期的每个三角波的平均值,则其大小表示为[2]:

设K=Vpk/VR,D为占空比,VR为反射电压=匝比(N)*(Vout+VF)
由式(3)得知,当K为0时,Iin(wt)为正弦波,但随着K的增大,Iin(wt)偏离正弦波越严重。反激拓扑即使在理想情况也不可能使功率因素为1,由于K为0,那么反射电压VR则需要为无穷大。也可以从式(3)得知,若要得到更高的功率因素,则需要更高的反射电压VR,即增加变压器匝数比N=NP/NS,但由于MOSFET的应力问题VR的设计需要适中,使MOSFET的额定电压必须高于VDS电压。本设计中匝比n=3.8,反射电压约为190V,故选择800V的MOSFET。

图2:临界模式变压器中的初级电流变化
2.恒流反馈分析
本设计中的恒流反馈区别于常见的恒流反馈,如图4所示。此反馈设计相比传统使用CV/CCIC设计的恒流反馈电路有以下优点,其一减少元件器个数降低BOM的成本,其二反馈响应时间快无过冲,其三此设计具有短路保护功能,在输入300VAC时,若输出短路,测得输入功率小于1.8W,波形如图3所示。次级绕组电流升高,电流互感器检测此电流高于预设定值时,CT1的Vo端输出高电平送到IC的INV脚,MOSFET关断(见图3)。其工作原理是使用一个电流互感器检测二次测绕组的三角波电流,经过整流滤波后送到TDA4863-2的INV引脚进行精确的电流控制。

图3:300Vac输入时输出短路保护波形

图4:输出整流滤波和恒流反馈电路
3.电流互感器设计
根据电流互感器特点,一般选择高?材料的磁芯,使激磁电流尽量小。原边通常选择1匝方便作业,Ns增加,电流互感器误差减小,取样电阻的损耗也减小,但随着Ns地增加,成本也会增加。
已知条件:Vo=2.5V IP=1A
设:NP=1TRo=250欧
根据公式NS=IP*NP/ISIs=Vo/Ro
计算得:Ns=100T
4.实验测试及仿真数据
本设计中的输入从85Vac到300Vac,输出功率约48W,工作电压约为48V,输出电流约1A。在标准负载条件下,如图5所示可以看出两者之间是非常近似,且输入的电流波形是基本呈正弦波。从图6看到该电源从85V到300V输入均获得较高的功率因素且较低的THD以及很高的效率,电流精度误差小于+/-5%。输入电压越低,PF越高,THD越小,与式5理论分析吻合,可以看出越低的输入电压,Iinθ越接近正弦,THD越小,PF就越高。

图5:300Vac输入的电源仿真及实验测得波形图

图6:85VAC-300VAC电压输入的电源输出特性
5.结语
本文介绍了基于TDA4863-2为核心的单级PFC反激架构LED驱动电源,并对其工作原理及如何实现功率因素进行了理论分析,并且以图1的原理图创建了一个基于SIMetrix/SIMPLIS仿真平台的模型进行了系统仿真。该电源电路结构简单,通过样机实验及仿真分析,验证了该方案在85Vac-300Vac输入电压范围内,具有高功率因素、高效率、低THD以及良好的线性调整率和负载调整率,可以很好地满足EN61000-3-2的电流谐波分量等技术要求
基于TDA4863-2的单级PFC反激LED电源设计与仿真的更多相关文章
- 基于MATLAB的单级倒立摆仿真
有关代码及word文档请关注公众号“浮光倾云”,后台回复A010.02即可获取 一.单级倒立摆概述 倒立摆是处于倒置不稳定状态,人为控制使其处于动态平衡的一种摆,是一类典型的快速.多变量.非线性.强耦 ...
- 基于Extjs的web表单设计器 第五节——数据库设计
这里列出表单设计器系列的内容,6.7.8节的内容应该在春节后才有时间出了.因为这周末就请假回老家了,准备我的结婚大事.在此提前祝大家春节快乐! 基于Extjs的web表单设计器 基于Extjs的web ...
- Java基础知识强化之IO流笔记48:IO流练习之 复制单级文件夹案例
1. 复制单级文件夹 数据源:e:\\demo 目的地:e:\\test 分析: A:封装目录 B:获取该目录下的所有文本的File数组 C:遍历该File数组,得到每一个File对象 ...
- "《算法导论》之‘线性表’":基于数组实现的单链表
对于单链表,我们大多时候会用指针来实现(可参考基于指针实现的单链表).现在我们就来看看怎么用数组来实现单链表. 1. 定义单链表中结点的数据结构 typedef int ElementType; cl ...
- 基于Groovy+HttpRestful的超轻量级的接口测试用例配置的设计方案及DEMO实现
目标 设计一个轻量级测试用例框架,接口测试编写者只需要编写测试用例相关的内容(入参及结果校验),不需要理会系统的实现,不需要写跟测试校验无关的内容. 思路 测试用例分析 一个用例由以下部分组成: (1 ...
- python之tkinter使用-单级菜单
# 菜单功能说明:单级菜单 import tkinter as tk root = tk.Tk() root.title('菜单选择') root.geometry('200x60') # 设置窗口大 ...
- python list 嵌套 dict 按照字典中的单个key进行单级排序 或 按照多个键进行多级排序
student = [{"no": 1,"score": 90},{"no": 2,"score": 90},{&quo ...
- Django - 权限(2)- 动态显示单级权限菜单
一.权限组件 1.上篇随笔中,我们只是设计好了权限控制的表结构,有三个模型,五张表,两个多对多关系,并且简单实现了对用户的权限控制,我们会发现那样写有一个问题,就是权限控制写死在了项目中,并且没有实现 ...
- AC/DC 反激 (Flyback) 控制器
AC/DC 反激控制器 (Flyback Controller) 用于将交流电转换为稳定.隔离的直流电以供给应用系统.交流电首先需整流为高压的直流电.返驰控制器的工作原理类似一个升-降压控制器 (Bu ...
随机推荐
- cf1130E. Wrong Answer(构造)
题意 题目链接 Sol 对构造一无所知... 题解的方法比较神仙,,设第一个位置为\(-1\),\(S = \sum_{i=1}^n a_i\) 那么我们要让\(N * S - (N - 1) * ( ...
- 【读书笔记】iOS-Web应用程序的自动化测试
seleniumHQ:https://github.com/seleniumhq/selenium Appium:https://github.com/appium/appium 参考资料:<i ...
- SD从零开始62-63,不完全日志,业务伙伴及业务伙伴确定
[原创] SD从零开始62 不完全日志 不完全日志Incompletion log 一个不完全日志是销售凭证中对你公司重要的而还没有在系统中输入的所有数据的清单: 你可以在配置中为不完全日志定义这些数 ...
- 根据需要扩展java中的ThreadPoolExecutor
经常被重写的三个方法 ThreadPoolExecutor是可扩展的,通过查看源码可以发现,它提供了几个可以在子类化中改写的方法:beforeExecute,afterExecute,terminat ...
- Fiddler 使用fiddler发送捕获的请求及模拟服务器返回
使用fiddler发送捕获的请求及模拟服务器返回 by:授客 QQ:1033553122 1.做好相关监听及代理设置 略 2.发送捕获的请求 如图 3.模拟服务器返回 本例的一个目的是,根据服务器返回 ...
- Angular基础(五) 内建指令和表单
Angular提供了一些内建的指令,可以作为属性添加给HTML元素,以动态控制其行为. 一.内建指令 a) *ngIf,可以根据条件来显示或隐藏HTML元素. <div *ngIf='a&g ...
- css文本属性用法总结
稍稍总结了下css文本的一些属性用法,自己忘记的时候也可以用来查查,不用去查网站那么麻烦. 下面是部分总结,也希望对其他人有用 文本修饰 (1)text-decoration: 文本修饰(横线) 4 ...
- github版本控制相关
Git版本控制: 安装Github http://blog.csdn.net/huangyuan_xuan/article/details/49125597 Git本地版本控制 http://blog ...
- C#语言————第二章 C#语言快速热身
第二章 C#语言快速热身 ***********一.选择结构**************** 1:if选择结构与java的if选择结构语法完全相同 2:switch选择结构 ①:常量表达式的值可 ...
- Linux文件和目录的粘滞位(sticky bit)
今天维护系统时发现一个非常诡异的问题:AAA用户和BBB用户同属AAA组,但用AAA用户创建的文件,权限设置为777后,还是不能用BBB用户删除.诡异! 几经周转,发现AAA用户创建文件位置的上层目录 ...