[MCM] 多目标优化 MOP(multi-objective programming)
生活中许多问题都是由相互冲突和影响的多个目标组成。人们会经常遇到使多个目标在给定区域同时尽可能最佳的优化问题,也就是多目标优化问题。优化问题存在的优化目标超过一个并需要同时处理就成为多目标优化问题。
多目标优化问题在工程应用等现实生活中非常普遍并且处于非常重要的地位,这些实际问题通常非常复杂、困难,是主要研究领域之一。自20世纪60年代早期以来多目标优化问题吸弓了越来越多不同背景研究人员的注意力。因此,解决多目标优化问题具有非常重要的科研价值和实际意义。
实际中优化问题大多数是多目标优化问题,一般情况下,多目标优化问题的各个子目标之间是矛盾的,一个子目标的改善有可能会引起另一个或者另几个子目标的性能降低,也就是要同时使多个子目标一起达到最优值是不可能的,而只能在它们中间进行协调和折中处理,使各个子目标都尽可能地达到最优化。其与单目标优化问题的本质区别在于,它的解并非唯一,而是存在一组由众多Pareto最优解组成的最优解集合,集合中的各个元素称为Pareto最优解或非劣最优解。
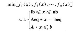
一般地,多目标规划问题(multi-objective programming,MOP)可以描述成如下形式:

 
在两个目标函数中,它们之间可能是存在着一定的矛盾,也就是说,当一个目标函数的提高需要以另外一个目标函数的降低作为代价。在这个时候,我们就称,这样的两个解是非劣解,也就是长说的Pareto最优解。多目标优化算法就是要找到这些Pareto最优解。


简单的解决形式
一般采用两个目标函数加权相加的形式。加权可以解决两个目标函数量纲不一致,或者变化剧烈程度不一致的问题,不过权重本身需要人为选取。
一般不使用乘法来组合目标函数,因为这样会使得导数的形式变得复杂。
方法一
MOEA/D 单目标转换法
具体的方法是把多目标每一个子目标归一化,然后给每个目标赋予一个权值,然后通过不断调整这些权值,从而获得一组不同权值的单目标问题,然后再去同时解决这一组问题。
比如只考虑2个目标,那么权值可以划分成(1,0),(0.9,0.1),。。。,(0,1)这样一组问题,然后依次往后求解。
方法二 绘制出pareto curve
无非就是目标函数加权或者绘制出pareto curve。可以证明的是每个选定参数加权目标函数得到的解其实都是在pareto curve上面的。不过在目标函数很多的时候,其实得到pareto curve是不太现实的,计算量略大。而且并不是解越多就越好。
 

从图1可以看出Pareto前分布较均匀,多样性较好。
[MCM] 多目标优化 MOP(multi-objective programming)的更多相关文章
- Algorithm-多目标优化-博文路径
		参考博文: 多目标进化算法(MOEA)概述: https://blog.csdn.net/qithon/article/details/72885053 多目标优化问题的算法及其求解: https:/ ... 
- 多目标优化算法(一)NSGA-Ⅱ(NSGA2)(转载)
		多目标优化算法(一)NSGA-Ⅱ(NSGA2) 本文链接:https://blog.csdn.net/qq_40434430/article/details/82876572多目标优化算法(一)NSG ... 
- 单目标优化问题 常用的 测试函数(MATLAB版)
		############################################### # 测试函数 # ######## ... 
- JavaScript 目标装配式编程(Target Assemble Programming)
		TAP概述 脚本中一切皆对象,若还以传统模式思考编程模式,那简直是对不起脚本解释器的强大支持:我们应该以最接近人类操作方式的来表达人的意图. 更接近工作实践的方式,比如游戏中,一个人物一个角色,人物的 ... 
- MOPSO 多目标例子群优化算法
		近年来,基于启发式的多目标优化技术得到了很大的发展,研究表明该技术比经典方法更实用和高效.有代表性的多目标优化算法主要有NSGA.NSGA-II.SPEA.SPEA2.PAES和PESA等.粒子群优化 ... 
- MOPSO 多目标粒子群优化算法
		近年来,基于启发式的多目标优化技术得到了很大的发展,研究表明该技术比经典方法更实用和高效.有代表性的多目标优化算法主要有NSGA.NSGA-II.SPEA.SPEA2.PAES和PESA等.粒子群优化 ... 
- mysql数据库性能优化(包括SQL,表结构,索引,缓存)
		优化目标减少 IO 次数IO永远是数据库最容易瓶颈的地方,这是由数据库的职责所决定的,大部分数据库操作中超过90%的时间都是 IO 操作所占用的,减少 IO 次数是 SQL 优化中需要第一优先考虑,当 ... 
- MySQL 数据库性能优化之SQL优化
		前言 有人反馈之前几篇文章过于理论缺少实际操作细节,这篇文章就多一些可操作性的内容吧. 注:这篇文章是以 MySQL 为背景,很多内容同时适用于其他关系型数据库,需要有一些索引知识为基础. 优化目标 ... 
- SQL优化的四个方面,缓存,表结构,索引,SQL语句
		一,缓存 数据库属于 IO 密集型的应用程序,其主要职责就是数据的管理及存储工作.而我们知道,从内存中读取一个数据库的时间是微秒级别,而从一块普通硬盘上读取一个IO是在毫秒级别,二者相差3个数量级.所 ... 
随机推荐
- 【redis】6、redis常用命令
			[开启redis客户端,执行redis命令] redis-cli -h 192.168.1.27 -a HoomSun1 [批量执行redis命令.把命令写到txt中,批量执行] cat /t ... 
- Vue Document
			目录 VUE笔记 环境搭建 Vue学习笔记 1.Vue指令 VUE笔记 环境搭建 node -v npm -v npm i -g cnpm --registry=https://registry.np ... 
- javascript 里面 with 关键字
			1.with的基本概念 with语句的作用是将代码的作用域设置到一个特定的作用域中,目的是为了简化多次编写访问同一对象的工作.基本语法如下: with (expression) statement 下 ... 
- web自动化 基于python+Selenium+PHP+Ftp实现的轻量级web自动化测试框架
			基于python+Selenium+PHP+Ftp实现的轻量级web自动化测试框架 by:授客 QQ:1033553122 博客:http://blog.sina.com.cn/ishou ... 
- websocket  与 tornado 的结合
			对于socket是不陌生的,但是对于websocket我却是陌生的,不同于https,在网页中使用websocket可以同样起到ajax的作用,默默发送数据... 在script中: ws = new ... 
- Android绘制优化(一)绘制性能分析
			前言 一个优秀的应用不仅仅是要有吸引人的功能和交互,同时在性能上也有很高的要求.运行Android系统的手机,虽然配置在不断的提升,但仍旧无法和PC相比,无法做到PC那样拥有超大的内存以及高性能的CP ... 
- JAVA设计模式——代理(动态代理)
			传送门:JAVA设计模式——代理(静态代理) 序言: 在学习Spring的时候,我们知道Spring主要有两大思想,一个是IoC,另一个就是AOP,对于IoC,依赖注入就不用多说了,而对于Spring ... 
- 口碑点餐相关问题FAQ
			1.菜品上传中:出现重复错误或者违禁词 检查并修改商家中心本次上传中的重复菜品,或者删除口碑掌柜以及第三方平台已添加的重复菜品(重复菜品临时快捷办法:修改菜品名称) 2.手持pos 打开自动接单,无响 ... 
- java POI导出Excel文件数据库的数据
			在web开发中,有一个经典的功能,就是数据的导入导出.特别是数据的导出,在生产管理或者财务系统中用的非常普遍,因为这些系统经常要做一些报表打印的工作.这里我简单实现导出Excel文件. POI jar ... 
- Linux用户抢占和内核抢占详解(概念, 实现和触发时机)--Linux进程的管理与调度(二十)
			1 非抢占式和可抢占式内核 为了简化问题,我使用嵌入式实时系统uC/OS作为例子 首先要指出的是,uC/OS只有内核态,没有用户态,这和Linux不一样 多任务系统中, 内核负责管理各个任务, 或者说 ... 
