Python程序设计实验报告三:分支结构程序设计
安徽工程大学
Python程序设计 实验报告
班级 物流191 姓名 姚彩琴 学号3190505129 成绩
日期 2020.4.5 指导老师 修宇
【实验目的】
(1)学会正确使用比较运算符与比较表达式、逻辑运算符和逻辑表达式
(2)熟练用if语句设计选择结构程序;
【实验条件】
PC机或者远程编程环境
【实验内容】
1、完成三个编程题。
(1)设计一个货币转换程序
问题描述:
参考温度转换实例编制一个货币转换程序。假定美元/人民币汇率为:6.7744 : 1
输入输出格式
例1: 输入一个美元货币值:$32.3 ,当输入美元时,返回“美元转换为人民币后是:¥32元”
例2: 输入一个人民币货币值:¥10.1 ,当输入人民币时,返回“人民币转换为美元后是:$32美元”
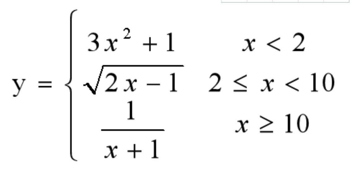
(2)求解数学表达式的值
问题描述
从键盘输入x的值,根据公式计算并输出x和y的值

直接输出y的值,保留小数点后两位,不需要额外信息.
(3)新版个人所得税计算
问题描述:
请编写一个程序,根据用户输入计算个人所得税。
1. 用户输入是个人薪金扣险所得。
(1)约定用户输入为以人民币元为单位的零或者正数。不要增加额外的提示信息。
(2)如果用户输入了负数,提示“请输入正数!”。其他错误输入可以不予处理。
2. 计算应缴纳的税金(保留小数点后一位)。
我国的个人所得税采用“超额累进税率”计算方法,简化公式如下:
缴税 = (个人薪金扣险所得 – 个税免征额)* 税率
其中,个税免征额为5000元,税率根据应纳税额数量而不同,如下表所示:


【实验记录与分析】
(一)设计一个货币转换程序
输入代码:

输出结果:

需要注意:
符号的中英文;缩进
(二)求解数学表达式
输入代码:

输出结果:

需要注意:
数学公式有些地方输入代码时需要打括号
(三)新版个人所得税计算
输入代码:

输出结果:



需要注意:
条件分支if,else,elif之间的区别;print后的中文字符串的符号;缩进
【思考题】
尝试用IDLE 运行你的程序,如果用户输入不符合输入格式时,程序会运行出现什么情况?
(1)设计一个货币转换程序
输入代码:

运行:

输入10后的输出结果:

(2)求解数学表达式:
输入代码:

运行:

输入2a后的输出结果:

(3)新版个人所得税计算
输入代码:

运行:

输入c后的输出结果:

你认为如何从哪几方面修改程序让计算机与人的交互更加友好?
(1)可以增加更多程序异常处理的设计:


(2)增加更多适合用户的分支结构
Python程序设计实验报告三:分支结构程序设计的更多相关文章
- C语言程序设计实验报告三
C程序设计实验报告 姓 名:张美盛 实验地点:家 实验时间:2020年3月29日 实验项目:4.3.1 If语句的应用 4.3.2 switch-case的应用 4.3.3 switch-case嵌套 ...
- Python程序设计实验报告二:顺序结构程序设计(验证性实验)
安徽工程大学 Python程序设计 实验报告 班级 物流191 姓名 崔攀 学号3190505136 成绩 日期 2020.3.22 指导老师 修宇 [实验 ...
- Python程序设计实验报告四:循环结构程序设计(设计型实验)
安徽工程大学 Python程序设计 实验报告 班级 物流191 姓名 姚彩琴 学号3190505129 成绩 日期 2020.4.8 指导老师 修宇 [实验名称 ...
- 20145221 《Java程序设计》实验报告三:敏捷开发与XP实践
20145221 <Java程序设计>实验报告三:敏捷开发与XP实践 实验要求 以结对编程的方式编写一个软件,Blog中要给出结对同学的Blog网址 记录TDD和重构的过程,测试代码不要少 ...
- Python程序设计实验报告一:熟悉IDLE和在线编程平台
安徽工程大学 Python程序设计 实验报告 班级 物流191 姓名 崔攀 学号3190505136 成绩_____ 日期 2020.3.8 指导老师 ...
- 20162327WJH Android开发程序设计实验报告
学号 20162327 <程序设计与数据结结构>Android开发程序设计实验报告 实验一:Android Stuidio的安装测试: 参考<Java和Android开发学习指南(第 ...
- 20145219 《Java程序设计》实验二 Java面向对象程序设计实验报告
20145219 <Java程序设计>实验二 Java面向对象程序设计实验报告 实验内容 初步掌握单元测试和TDD 理解并掌握面向对象三要素:封装.继承.多态 初步掌握UML建模 熟悉S. ...
- C语言程序设计实验报告(第一次实验)
C程序设计实验报告 实验项目:C语言程序设计教程实验1.3.2:1.3.3:1.3.4:2.3.1:2.3.2 姓名:赖瑾 实验地点:家 实验时间:2020.2.25 目录 C程序设计实验报告 一.实 ...
- 20145213《Java程序设计》实验二Java面向对象程序设计实验报告
20145213<Java程序设计>实验二Java面向对象程序设计实验报告 实验内容 初步掌握单元测试和TDD 理解并掌握面向对象三要素:封装,继承,多态 初步掌握UML建模 熟悉S.O. ...
随机推荐
- settings源码
自定义settings配置 创建python项目 settings.py NAME = '我是暴露给用户的自定义配置' __init__.py import os import importlib f ...
- Android LinearLayout线性布局详解
为了更好地管理Android应用的用户界面里的各组件,Android提供了布局管理器.通过使用布局管理器,Android应用图形用户界面具有良好的平台无关性.推荐使用布局管理器来管理组件的分布.大小, ...
- OpenCV-Python 读取显示视频 | 六
目标 学习读取视频,显示视频和保存视频. 学习从相机捕捉并显示它. 你将学习以下功能:cv.VideoCapture(),cv.VideoWriter() 从相机中读取视频 通常情况下,我们必须用摄像 ...
- List<Object>转List<T>
今天遇到一个麻烦,公司有个项目用了一个封装dao的模板,他妈的不管是查一条数据的方法,还是查一个集合数据的方法,全都返回Object或List<Object> 由于对象是Object根本不 ...
- vscode vue 模版生成,vue 一键生成
vscode vue 模版 继上篇文章(vue 格式化),顺便记录下 vue 模版生成.图片就不在贴了,如果有找不到 vscode 插件商店的可以访问上篇文章. 一.安装 VueHelper 在 vs ...
- Springboot使用自定义注解实现简单参数加密解密(注解+HandlerMethodArgumentResolver)
前言 我黄汉三又回来了,快半年没更新博客了,这半年来的经历实属不易,疫情当头,本人实习的公司没有跟员工共患难, 直接辞掉了很多人.作为一个实习生,本人也被无情开除了.所以本人又得重新准备找工作了. 算 ...
- sql MariaDB 安装contos
安装和运行MySQL数据库(MariaDB) centos 平台 1.安装和运行 yum install mariadb mariadb-server - 安装 systemctl start mar ...
- 实战级Stand-Alone Self-Attention in CV,快加入到你的trick包吧 | NeurIPS 2019
论文提出stand-alone self-attention layer,并且构建了full attention model,验证了content-based的相互关系能够作为视觉模型特征提取的主要基 ...
- Sql练习201908131742
orderdt_jimmy表结构: sql查询: then amount end) t1, then amount end) t2, then amount end) t3 from orderdt_ ...
- 运输问题中产销不平衡问题(表上作业法和LINGO方法)
对于产销不平衡问题有两种情况: 供大于求(产大于销)→增加虚拟销地 供不应求(产小于销)→增加虚拟产地 例如以下例题: 这个题中,总产量为55,总销量为60,故而我们知道这个问题属于供不应求. 1.这 ...