2020考研-必须了解的干货"极限微分和你说的悄悄话"
想必接触过数学或物理的都对牛顿和莱布尼兹不陌生.如果你是考研大军中的一员,估计天天会与他们眉来眼去的吧!
牛顿莱布:别光着崇拜我们,快来和我一起探索积分史吧~
记得在高考后的那个暑假里,一个邻村的小伙子拍着我的肩膀和我说:weige你到了大学你会遇到一棵,那棵树上会挂着很多人. 啊!!纳尼? 这么恐怖吗?我打断他说. 他说你知道那棵树叫什么名字么,他叫高数...回想起来:他说的确实很真实!
Q
考研大军,一定要经常看的图片!
备战多坎时回眸看几眼灵感远方来
A
Q:礼拜天去哪里玩呀?
A:阿牛(牛顿)和妮子(莱布尼兹)叫我去开微积分大会呢!-
要复习去了,快拿小本本来记哟快去吧,,.
正是上面两位大神的不懈努力.
才有了我们现在所学的微积分.
如果没有他们我们的生活该缺少多少快乐啊!
划重点了
你造么,你数学中始终弄不明白的定理公式其实是一家人,莱布尼兹的学生是->伯努利,伯努利->欧拉,欧拉->拉格朗日->柯西.洛必达给老师伯努利钱去娶老婆,于是礼尚往来伯努利给洛必达一篇论文(x->0时,0/0形=导数/导数),现在称作洛必达法则.其实莱布尼兹在37岁前是有老婆的,只不过与牛顿天天书信往来(这里阐述一下不是你想的那样),老婆说,你怎么这样啊,也不关心关心我,我可是你老婆啊!莱布尼兹觉得老婆阻碍了他对学术上的研究,于是就和老婆好聚好散.于是专心和牛顿的书信交往研究积分和微分.多次的书信交往.研究成果出来后. 这算谁发表的呢,妮子说:这是我研究出来的,属于我的.阿牛火起来了:微分最早我提出来的,是我的研究成果你只不过是参加了而已.最后两位大神老死不相往来,很倔强..最后让他们在一起的是后人的那个公式牛顿-莱布尼兹公式.
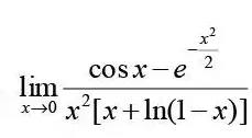
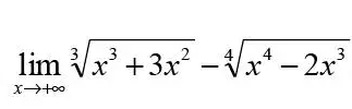
---下面我们来看看两道经典的例题---
吓不吓人,惊不惊喜
小伙伴张开嘴,这么长,这么复杂,我的个天呐!
于是很多人推导出来了
放弃考研
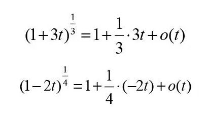
别急,看看上面那两张图,于是你会就想到他们一家人!
大喊一声
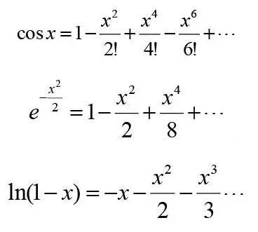
关门,放泰勒
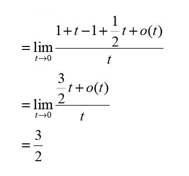
带入可得
很棒,不错,你跟上来了,咱继续.
小..小编..我..我..看他们的图好几遍了,
还....还是...一脸懵逼啊!!
别慌,他们一家人只是戴了个帽子而已
令x=1/t,,可化简为:
关门,放泰勒
原式可化简为
拿图片来--总结(下篇预告)

个人微信-投稿联系
2020考研-必须了解的干货"极限微分和你说的悄悄话"的更多相关文章
- Sympy解方程-求极限-微分-积分-矩阵运算
简介 Sympy是一个Python的科学计算库,用一套强大的符号计算体系完成诸如多项式求值.求极限.解方程.求积分.微分方程.级数展开.矩阵运算等等计算问题.虽然Matlab的类似科学计算能力也很强大 ...
- [OpenCV] Face Detection
即将进入涉及大量数学知识的阶段,先读下“别人家”的博文放松一下. 读罢该文,基本能了解面部识别领域的整体状况. 后生可畏. 结尾的Google Facenet中的2亿数据集,仿佛隐约听到:“你们都玩儿 ...
- Mathematica
Mathematica是一款科学计算软件,很好地结合了数值和符号计算引擎.图形系统.编程语言.文本系统.和与其他应用程序的高级连接.很多功能在相应领域内处于世界领先地位,它也是使用最广泛的数学软件之一 ...
- java_爬虫_从腾讯视频播放界面爬取视频真实地址
由于想在微信公众号里爬一点儿考研的视频 花了差不多一天的时间把这个爬虫做好(其实也不算爬虫吧,就算个能批量处理的地址解析器,半个爬虫) 不多说,进正题 (本文适合有java基础的同学,没基础的用客户端 ...
- PAT-1010 Radix
1010 Radix (25 分) Given a pair of positive integers, for example, 6 and 110, can this equation 6 = 1 ...
- PAT-1004 Counting Leaves
1004 Counting Leaves (30 分) A family hierarchy is usually presented by a pedigree tree. Your job is ...
- PAT-1003 Emergency(Dijkstra)
1003 Emergency (25 分) As an emergency rescue team leader of a city, you are given a special map of y ...
- [CNN] Face Detection
即将进入涉及大量数学知识的阶段,先读下“别人家”的博文放松一下. 读罢该文,基本能了解面部识别领域的整体状况. 后生可畏. 结尾的Google Facenet中的2亿数据集,仿佛隐约听到:“你们都玩儿 ...
- Scrapy-从数据库取出IP并判断是否可用
import pymysql import requests conn = pymysql.connect(host="localhost",user="root&quo ...
随机推荐
- 如何发布jar包到maven中央仓库
自使用maven以来,没少使用maven中央仓库中的各种jar包,方便有效,但是咱们也不能总是只取不予,也应该懂得奉献,当你写好了一个十分好用的jar包,想贡献出去给大家使用的时候,应该怎么做呢?当然 ...
- jQuery学习之旅 Item4 细说DOM操作
jQuery-–DOM操作(文档处理) Dom是Document Object Model的缩写,意思是文档对象模型.DOM是一种与浏览器.平台.语言无关的接口,使用该接口可以轻松访问页面中所有的标准 ...
- 『网络の转载』px与em的区别
这里引用的是Jorux的“95%的中国网站需要重写CSS”的文章,题目有点吓人,但是确实是现在国内网页制作方面的一些缺陷.我一直也搞不清楚px与em之间的关系和特点,看过以后确实收获很大.平时都是用p ...
- Canvas的基本用法
canvas没有设置宽度和高度的时候,会初始化宽度:300像素和高度:150像素.可以使用CSS来定义大小,但在绘制时图像会伸缩以适应它的框架尺寸:如果CSS的尺寸与初始画布的比例不一致,它会出现扭曲 ...
- Python集合set
集合 set 集合是无序的 集合的值是唯一的 求两个集合的关系: list1 = [1,4,5,7,3,6,7,9] list2 = set([2,6,0,66,22,8,4]) list3 = se ...
- 第三方库API接口
第三方库API接口 InfluxDB提供了各种语言的Http API接口的封装.具体可以看这里: https://docs.influxdata.com/influxdb/v0.10/clients/ ...
- POJ_1066_Treasure Hunt_判断线段相交
POJ_1066_Treasure Hunt_判断线段相交 Description Archeologists from the Antiquities and Curios Museum (ACM) ...
- 记一次重大生产事故,在那 0.1s 我想辞职不干了!
一.发生了什么? 1.那是一个阳光明媚的下午,老婆和她的闺蜜正在美丽的湖边公园闲逛(我是拎包拍照的). 2.突然接到甲方运营小妹的微信:有个顾客线上付款了,但是没有到账,后台卡在微信支付成功(正常状态 ...
- 零基础怎么学java
首先告诉你的是,作为一个初学者想转行学习Java并不是很容易,Java本身是具有一定难度的,虽然说兴趣这东西可以让我们学习不累,但是有多少人学习是因为兴趣,或者有多少人知道自己的兴趣在哪?所以我很明确 ...
- python接口自动化(二十一)--unittest简介(详解)
简介 前边的随笔主要介绍的requests模块的有关知识个内容,接下来看一下python的单元测试框架unittest.熟悉 或者了解java 的小伙伴应该都清楚常见的单元测试框架 Junit 和 T ...