如何用 Python 给照片换色
最近遇到了一个需求,就是对图片进行色彩风格转换,让一个物体可以以各种不同的色彩来呈现。
比如一个红色的苹果,我想把它转化成绿色,这可怎么办呢?本来想的解决方案是先识别边界,然后对边界内区域进行色彩替换或者填充,这样整个流程就分成了两步,首先需要进行边界判断,有了边界之后才能对某些区域颜色进行替换填充,填充的区域还是不规则的,填充的颜色也需要根据实际的情况来变化,同时还要兼顾阴影、高光等等的处理,想想真是头大。

然后我就突然想到了之前学 PS 的时候,曾经做过对某一张图片进行色调替换,我还记得当时调的内容是「色相」,通过调节这个值可以实现各种色调的转换。这之后我就心想,能不能用程序来做这件事呢?
于是我就开始了对图像色彩的一些研究,研究完了之后就实现了用 Python 来更换图片色调的功能,将这篇文章顺便记录下来。
先给大家看看效果吧,就比如我从百度上随便搜一张图,比如热气球吧,是这样子:
原图
我把它转成红色、黄色、蓝色、紫色,基本就是这个样子:
红色风格
黄色风格
绿色图片
蓝色图片
这里的图片都是经过 Python 自动转换算法实现的,主要调节的就是色相。其实代码实现是比较简单的,但在实现之前需要了解一些图像色彩知识。了解了这些之后我们再实现才会更加游刃有余。
下面我们就首先来了解一下图像色彩的基本知识,然后用 Python 实现色调转换算法吧。
RGB
首先让我们来了解下颜色的三原色,RGB。
RGB,其实就是三种颜色,分别代表红色(Red)、绿色(Green)、蓝色(Blue),用这三种原色颜色混合可以表示任意的颜色。RGB 是根据颜色发光的原理来设计的,比如这里有红绿蓝三道光,当三束光混合在一起的时候,其呈现的最终的光效颜色就取决于这三种原色光的强弱了。
•比如说红光最强,绿光和蓝光几乎没有,那么最后结果肯定呈现为红光了。•如果蓝光很弱,红光和绿光非常强,那么结果就是红光和绿光的混合光,也就黄光。•如果红绿蓝三种光都非常强,那么就会呈现三种光的混合光,也就是白光。•如果三种光都非常弱,那就几乎没有光,自然就是黑色了。
如果大家了解过 RGB 的一些知识的话,想必也见过这张混合光图:
但是这仅仅是一张平面图,并不能很好地体现三原色的混合关系,大家可以看这张图:
实际上可以对 RGB 色值建立一个三维坐标系,坐标原点就在上图中所看不见的那个正方体顶点,像左延伸为 R 红色轴,向右延伸为 B 蓝色轴,向上延伸为 G 绿色轴。
RGB 在进行色彩表示时使用了 256 阶,也就是从 0-255,可以由一个字节来表示。数值越大,RGB 三个轴,每个轴对应的数值越大,就代表其亮度越高,最亮就对应着 255,最暗就对应着 0。三个轴上的三个数字联合起来可以用来表示一个颜色。
例如:
•(255, 255, 255) 就代表 RGB 都是满的,组成白色。•(255, 255, 0) 就代表 R 红色是满的,G 绿色是满的,B 蓝色是没有的,红色和绿色混合为黄色,所以它就表示黄色。•(0, 0, 0) 就代表 RGB 都是没有的,呈现黑色。
因此,通过这三个数值,我们就可以实现任何颜色的表示了。
HSV
但了解了 RGB 显然不能应对我们的需求,它和色相也没有什么关系,所以这里我们还需要研究另外一个颜色模型,叫做 HSV。
HSV,又叫做 HSB,其实也是三个参数,分别是色调(Hue)、饱和度(Saturation)、明度(Brightness),在 HSV 中 V 代表 Value,也是明度的意思。通过这三个值,我们同样可以表示任意的颜色。
首先我们看看 HSV (HSB) 颜色模型的坐标轴图吧,它可以用这么一个锥形的坐标来表示:
色调,Hue,它是一种角度度量,就是图中 Hue 所示的角度,绕圆锥体一周。它的值是从红色开始逆时针方向计算的,红色是 0,绿色是 120,蓝色为 240,形成一个红绿蓝三原色组成的色带。
饱和度,Saturation,它是图中 Saturation 所示的方向,由最上面圆的圆心向外扩散。它表示颜色接近光谱色的程度。一种颜色,可以看成是某种光谱色与白色混合的结果。其中光谱色所占的比例愈大,颜色接近光谱色的程度就愈高,颜色的饱和度也就愈高。饱和度高,颜色则深而艳。光谱色的白光成分为 0,饱和度达到最高。通常取值范围为 0-100,值越大,颜色越饱和。也就是说图中,圆心处饱和度为 0,越靠近边,饱和度越高,最高达到 100。
明度,Brightness,它表示颜色明亮的程度,对于光源色,明度值与发光体的光亮度有关,对于物体色,此值和物体的透射比或反射比有关。通常取值范围为 0-100,0 对应黑色,100 对应白色。
另外大家如果用到取色板的话,它是这样子的:
你可以看到左边有个大的矩形,右边有个竖直的彩虹带。由于刚才所说的圆锥坐标不好表示,在调色板里面就把圆锥坐标拆成了两部分。
•右边的彩虹带就可以选择色调 Hue,拖动彩虹带的箭头位置就可以调整 Hue 的值。•左边的正方形就和饱和度 Saturation、明度 Brightness 有关,横坐标表示饱和度 Saturation,纵坐标表示 Brightness,从左到右,饱和度 Saturation 变高,从下到上,明度 Brightness 变高。•左下角,由于饱和度 Saturation 和明度 Brightness 都为 0,就呈现黑色。•左上角,由于饱和度 Saturation 为 0,所以相当于没有颜色,颜色最浅,但是它的明度 Brightness 达到了最高,所以它就显示没有颜色的明度最高的色,即白色。•右上角,由于饱和度 Saturation 和明度 Brightness 都为最高,那就显示最纯的 Hue 值。
这也就是 HSB 颜色模型的原理。
同样地,我们可以用 HSB 的三个值来表示任意的颜色,因此 HSB 也成为表示颜色的基本标准之一。
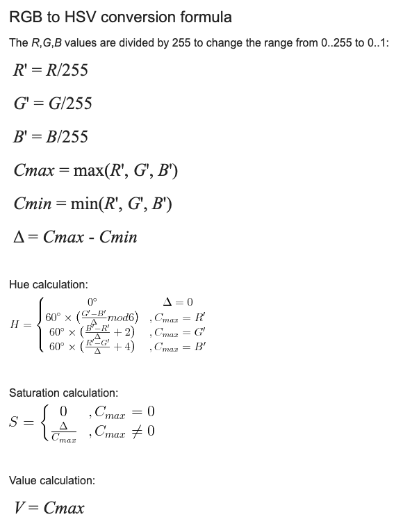
HSB 和 RGB 的转换
HSB 和 RGB 都能表示一个颜色,它们之间也是可以相互转换的,可以一一对应。
他们之间的转换逻辑这里就不再专门对其公式展开详解了,公式总结如下:
RGB to HSB
HSV to RGB
大家如果感兴趣想要研究的话也可以去:https://www.rapidtables.com/convert/color/hsv-to-rgb.html 来了解一下详情,这里还有详细的转换表格以及实时转换实现。
另外对于它们之间的转换算法,很多库都已经封装好了。我们可以直接调用,比如 Python 中的 colorsys 模块,就实现了 rgb_to_hsv 和 hsv_to_rgb 算法,我们也可以直接使用。
色调转换
了解了以上内容之后,我们就可以使用程序来实现色调转换了。相比我们已经知道应该改什么内容了,那就是修改 HSV 中的 H 值,通过不同的 H 值我们就可以将图片转换为不同的色调了。
具体思路是怎样的呢:
•首先获取图像每个像素的的 RGB 色值。•将 RGB 色值转化为 HSV 色值。•调整 HSV 色值中的 H。•将 HSV 色值转回 RGB 色值。•输出图像。
一共就是这么五步,这里的两个转换色值的操作我们就可以借助于 colorsys 模块。另外需要安装一个 pillow 模块:
pip3 install pillow
安装完毕之后,我们准备任意一张图片,然后实现上面的五个步骤。
最终的代码实现如下:
import colorsysfrom PIL import Image# 输入文件filename = 'input.jpg'# 目标色值target_hue = 0# 读入图片,转化为 RGB 色值image = Image.open(filename).convert('RGB')# 将 RGB 色值分离image.load()r, g, b = image.split()result_r, result_g, result_b = [], [], []# 依次对每个像素点进行处理for pixel_r, pixel_g, pixel_b in zip(r.getdata(), g.getdata(), b.getdata()):# 转为 HSV 色值h, s, v = colorsys.rgb_to_hsv(pixel_r / 255., pixel_b / 255., pixel_g / 255.)# 转回 RGB 色系rgb = colorsys.hsv_to_rgb(target_hue, s, v)pixel_r, pixel_g, pixel_b = [int(x * 255.) for x in rgb]# 每个像素点结果保存result_r.append(pixel_r)result_g.append(pixel_g)result_b.append(pixel_b)r.putdata(result_r)g.putdata(result_g)b.putdata(result_b)# 合并图片image = Image.merge('RGB', (r, g, b))# 输出图片image.save('output.png')
具体的实现在代码注释里面已经很清楚了。
在这里我们将 target_hue 定义为 0。通过前文我们知道,Hue 为 0 代表红色,120 代表绿色,240 代表蓝色。我们可以自定义 0-355 这 360 个数值,实现不同的色调转换。
如果想输出其他颜色的图片,就把 target_hue 这个值改一下就好了。
看看最后的运行效果,输入是一张原图:
所以最后的输出效果就是如下的结果:
如果将代码中的 target_hue 值进行更改,就会呈现不同的颜色风格了,就像文中开头所示的一样。
比如把飞猪的 Logo 由黄色变为红色,都是可以做到的:
处理透明像素
上面的算法仅仅考虑了 RGB,如果有些图包含了透明像素,上面的程序对于透明像素是无法处理的,最后输出的结果会带有某种颜色的背景。
对于透明像素的处理,我们可以增加一个维度的值,就是 A,即 Alpha 透明度。
所以使用 RGBA 和 HSV 的转换我们就可以实现透明像素的处理了,代码实现如下:
import colorsysfrom PIL import Image# 输入文件filename = 'input.png'# 目标色值target_hue = 0# 读入图片,转化为 RGB 色值image = Image.open(filename).convert('RGBA')# 将 RGB 色值分离image.load()r, g, b, a = image.split()result_r, result_g, result_b, result_a = [], [], [], []# 依次对每个像素点进行处理for pixel_r, pixel_g, pixel_b, pixel_a in zip(r.getdata(), g.getdata(), b.getdata(), a.getdata()):# 转为 HSV 色值h, s, v = colorsys.rgb_to_hsv(pixel_r / 255., pixel_b / 255., pixel_g / 255.)# 转回 RGB 色系rgb = colorsys.hsv_to_rgb(target_hue, s, v)pixel_r, pixel_g, pixel_b = [int(x * 255.) for x in rgb]# 每个像素点结果保存result_r.append(pixel_r)result_g.append(pixel_g)result_b.append(pixel_b)result_a.append(pixel_a)r.putdata(result_r)g.putdata(result_g)b.putdata(result_b)a.putdata(result_a)# 合并图片image = Image.merge('RGBA', (r, g, b, a))# 输出图片image.save('output.png')
在这里就是增加了对透明像素的处理,在图像 convert 和 merge 的时候都使用 RGBA 模式,就可以保留原有图片中的透明像素了。
以上便是使用 Python 程序自动调整色调的实现。
其他应用
另外对于图像调色的应用还有很多,比如我们可以不直接指定 Hue 的值,而是将 Hue 的值在原来的基础上增加或减少,则可以实现彩虹变色,如:
原图是这样子:
经过处理之后我们可以得到这样的效果:
如何用 Python 给照片换色的更多相关文章
- Python给照片换底色(蓝底换红底)
环境要求 Python3 numpy函数库 opencv库 安装 下载适应版本的numpy函数库,我电脑是WIN10 64位,安装的函数库是 numpy-1.13.1+mkl-cp36-cp36m-w ...
- 如何用Python统计《论语》中每个字的出现次数?10行代码搞定--用计算机学国学
编者按: 上学时听过山师王志民先生一场讲座,说每个人不论干什么,都应该学习国学(原谅我学了计算机专业)!王先生讲得很是吸引我这个工科男,可能比我的后来的那些同学听课还要认真些,当然一方面是兴趣.一方面 ...
- 如何用Python从海量文本抽取主题?
摘自https://www.jianshu.com/p/fdde9fc03f94 你在工作.学习中是否曾因信息过载叫苦不迭?有一种方法能够替你读海量文章,并将不同的主题和对应的关键词抽取出来,让你谈笑 ...
- 使用 python 提取照片中的手机信息
使用 python 提取照片中的手机信息 最近在做一个项目,有一个很重要的点是需要获取使用用户的手机信息,这里我选择从照片中获取信息.有人会问为什么不从手机里面直接获取设备信息.由于现在android ...
- DEV GridControl TableView隔行换色/奇偶行换色
GridControl中的TableView“奇偶行换色”这件事情纠结了我好几天,虽然已经是上个月的事情,好歹记录一下吧,万一有谁要用到呢. GridControl是长这个样子的, <dxg:G ...
- jQuery实现表格隔行换色且感应鼠标高亮行变色
jQuery插件实现表格隔行换色且感应鼠标高亮行变色 http://www.jb51.net/article/41568.htm jquery 操作DOM的基本用法分享http://www.jb51. ...
- php29号小结(隔行换色······)
1.给表单加样式,可以用css.php与js.js这三种,其中最好用php与js,现在很推广用这种. css3样式隔行换色(table中) tr:nth-child(even){ background ...
- JQuery 表格 隔行换色 和鼠标滑过的样式
$(document).ready(function () { $(".Pub_TB tbody tr:even td").css("background-color&q ...
- 使用JS创建表格以及隔行换色(包括隔N行换色)
<html> <head> <title></title> <style> table{ width:800px; border-colla ...
随机推荐
- 通过程序调用微信公众号发消息api返回48001
自己的订阅号,尝试通过写程序来给用户发消息.结果呢,接口返回报错:errcode=48001,errmsg = api unauthorized hint: [ZlPULa02942276!] 去微信 ...
- ORA-27468: ""."" is locked by another process
You have a scheduler job that generated an error. When the error occurred, you attempted to disable ...
- InnoDB On-Disk Structures(二)--Indexes (转载)
转载.节选于 https://dev.mysql.com/doc/refman/8.0/en/innodb-indexes.html This section covers topics relate ...
- VMware Workstation虚拟机安装CentOS-7-Minimal经验分享
本文主要为0基础的小白准备,有一定经验的大神请忽略.因为最近刚接触linux,在其中也是遇到无数的弯路,本着互惠互利原则,特写这个博客,希望后来人能少走点弯路,更快的进入状态.话不多说,上货. 一,首 ...
- 利用Python进行数据分析-Pandas(第二部分)
上一个章节中我们主要是介绍了pandas两种数据类型的具体属性,这个章节主要介绍操作Series和DataFrame中的数据的基本手段. 一.基本功能 1.重新索引 pandas对象的一个重要方法是r ...
- SpringCloud微服务(04):Turbine组件,实现微服务集群监控
本文源码:GitHub·点这里 || GitEE·点这里 写在前面,阅读本文前,你需要了解熔断器相关内容 SpringCloud微服务:Hystrix组件,实现服务熔断 一.聚合监控简介 1.Dash ...
- C++ 词汇表
C++词汇表 A abort() 特殊函数 如果一个函数抛出异常,但在通往异常函数的调用链中找不到与之匹配的catch,则该程序通常以此函数调用终止 abs ...
- Django路由系统的简介与使用
Django的路由系统 Django 1.11版本 URLConf官方文档 URL配置(URLconf)就像Django 所支撑网站的目录.它的本质是URL 与 为该URL调用的视图函数之间的映射表. ...
- 某小公司RESTful、共用接口、前后端分离、接口约定的实践
作者:邵磊 juejin.im/post/59eafab36fb9a045076eccc3 前言 随着互联网高速发展,公司对项目开发周期不断缩短,我们面对各种需求,使用原有对接方式,各端已经很难快速应 ...
- C# 英语纠错 LanguageTool
WPF中,对单词拼写错误,textbox有相应的附加属性可以设置. <TextBox SpellCheck.IsEnabled="True" /> 但是此属性只在WPF ...