作者简介:

吴天龙  香侬科技researcher

公众号(suanfarensheng)

导言

图(graph)是一个非常常用的数据结构,现实世界中很多很多任务可以描述为图问题,比如社交网络,蛋白体结构,交通路网数据,以及很火的知识图谱等,甚至规则网格结构数据(如图像,视频等)也是图数据的一种特殊形式,因此图是一个很值得研究的领域。

针对graph的研究可以分为三类:

1.经典的graph算法,如生成树算法,最短路径算法,复杂一点的二分图匹配,费用流问题等等;

2.概率图模型,将条件概率表达为图结构,并进一步挖掘,典型的有条件随机场等

3.图神经网络,研究图结构数据挖掘的问题,典型的有Graph Embedding,Graph CNN等。

本文主要针对图神经网络,介绍一些最近几年该领域的一些研究进展。由于应用很广泛(主要是社交网络发展和知识图谱的推动),以及受到深度学习在其他领域成功的启示,这个方向是目前机器学习领域最火的方向之一了,KDD2018中31篇tutorials里面有9篇是关于graph的,bestpaper也是关于graph的,论文名字叫做:adversarial attacks onclassification models for graphs. 可见学术界和工业界的热情。

本文首先介绍Graph Embedding,为结构化的graph生成分布式表示;然后介绍Graph Convolutional Network(图卷积),接着简单介绍基于图的序列建模,最后简要总结了下GNN在各个领域的一些应用。

Graph Embedding

Graph embedding(GE)也叫做network embedding(NE)也叫做Graph representation learning(GRL),或者network representation learning(NRL),最近有篇文章把graph和network区分开来了,说graph一般表示抽象的图比如知识图谱,network表示实体构成的图例如社交网络, 我觉得有点过分区分了。图1.1是整个GE大家族,本文只介绍绿色的,蓝色模型就不一一介绍了。严格来说,图卷积也属于GE的一部分,由于目标不同以及其关注度较大,我们单独划分出来(文章第二部分)

图1.1 Graph Embedding大家族

WHAT & WHY

首先我们回答什么是embedding,以及为什么要做embedding。

WHAT?

  • Embedding在数学上是一-个函数,f : X- > Y,即将一个空间的点映射到另一个空间,通常是从高维抽象的空间映射到低维具象的空间;

  • 一般映射到低维空间的表示具有分布式稠密表示的特性;

WHY?

  • 抽象的事物应该有一个低维的表示;比如我们看到一张含有一张小狗的图片,它底层的表示就是像素值。同样的我们看到"dog”这个单词时,它也应该有更低维的表示

  • 计算机和神经网络善于处理低纬度信息

  • 解决one-hot编码问题; one-hot编码是一 种特殊的高维到低维的映射,具有稀疏性,且向量长度较长并随着样本集变化而变化。one-hot编码是一种”讨巧”的编码方式,一般无法表示两个实体之间的相关性,embedding可以一定程度上解决这些问题。

Word2vec

Word2vec[2013]:Distributed Representations of Words and Phrases and their Compositionality

Word2vec是根据语料库中单词的共现关系求出每个单词的embedding。常用word2vec模型有cbow和skip-gram,cbow根据上下文预测中心词,skip-gram根据中心词预测上下文。由于两种模型相似,本节只介绍skip-gram模型。

图1.2 skip-gram模型

Word2vec本质是一个输入不确定的softmax回归。普通的softmax回归输入是确定的,我们需要求出参数矩阵,而word2vec中,输入的向量和参数矩阵都是不确定的,并且输入向量才是我们真正需要的,参数矩阵则是副产品。普通的softmax回归是一个凸优化问题,然后word2vec由于输入不确定不是一个凸优化问题,需要采取类似于坐标上升的优化方法。

由于以下两个原因:

1.一般来说语料库单词都是很多的,计算会非常长庞大。

2.正负样本极度不均衡。

一般不直接优化图1.1的表达式,有一些优化,比如分层softmax和负采样,一般来说现在最常用的是skip-gram+负采样。

这里提示一下,一般来说遇到配分函数的计算都需要优化,优化方法一般采 用噪声对比估计(Noise Contrastive Estimation, NCE),负采样(Negative Sampling)技术是NCE的一种特殊形式,后面我们会经常用到这个trick,负采样的一般表达式如公式1.1,其中是真实样本分布,是某个”均匀”分布或者其他的、确定的、方便采样的分布,说白了,NCE的做法就是将它转化为二分类问题,将真实样本判为1,从另一个分布采样的样本判为0。公式1.2是word2vec应用的负采样公式,即语料出现的Skip Gram视为正样本,随机采样的词作为负样本。关于NCE优化等价于直接优化softmax回归的数学证明详见“NCE等价于softmax回归的证明”

古典方法

在word2vec出现之前[2013],已经有一些方法试图对gragh进行embedding,这里简要介绍三个:

Locally Linear Embedding:

该方法假设一个节点可以用它邻居节点的线性组合表示,目标函数为:

Laplacian Eigenmaps:

该方法认为在原始空间约相似的节点(使用边权衡量),映射到低维空间以后也会越相似。这里L是拉普拉斯矩阵,它是GCN的理论基石,非常重要。目标函数为:

Graph Factorization:

该方法通过矩阵分解求得embedding表示,目标函数为:

Deepwalk

Deepwalk[2014] : DeepWalk: online learning of social representations

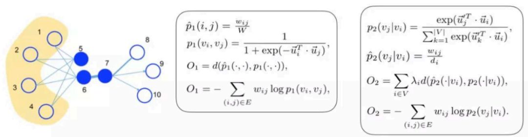
思考一个问题,既然自然语言中的单词(word)可以通过共现关系进行embedding,那graph类似于 整个语料库,图中节点(node)类似于单词,我们可不可以通过node之间的共现关系对graph中的node进行embdding呢?答案的关键在于怎么描述node的共现关系。对于word2vec来说,语料库中每一个句子都可以描述单词之间的共现,那么我们可不可以构造一个类似于句子”的序列呢,把这些序列作为node的”句子”来得到其embedding呢?实际上,deepwalk的工作就是在graph. 上构造这些“句子”,然后直接使用word2vec模型训练得到graph中每个node的embedding表示!

Deepwalk是基础的network embedding算法,是将word2vec直接用于graph的算法,只是增加了随机游走以构造序列(类似于word2vec的语料库)。公式1.3 是random walk的公式,根据边权来完全随机的选择下一个节点,实际上random walk是一种可回头的深度优先搜索

LINE

LINE[2015] : Large scale information network embedding

作者认为高纬度相似的节点,映射到低维空间也应该是相似的。就两个节点的相似性,作者有两个维度的定义:

1st order proximity:在高维层次即原始图中,表示为节点之间的边权;在低位层次即两个向量要是比较近似的,用一个sigmoid函数表示。

2st order proximity:用于有向图,如果无向图可以变成有向图。在高维层次,表示为两个节点之间有多少公共一度节点;在低维层次表示为一个条件概率。

图1.3 LINE模型

1st order proximity:直接相连的节点之间的相似度

2st order proximity:通过一阶公共节点传递的相似度,这个地方是比较迷惑人的,包括网上很多博客解释都是含糊不清或者是错的。其实最主要的是每个节点都有两个向量,一个是环境向量(),一个是自身向量()。环境向量处于被动地位,用于描述该节点充当context角色时的表示,自身向量即为最终embedding得到的向量,表示为条件概率可以理解为从节点i到节点j的概率,这表征着该节点作为环境时跟其它节点的关系。

需要注意的是1st order proximity和2nd order proximity是分别优化的,当然对于又是一个softmax,我们同样使用负采样优化技术:

最后注意一点,LINE基于邻域相似的假设,这其实是一种基于BFS方法。

GraRep

GraRep[2015] : Learning Graph Representations with Global Structural

图1.4 节点之间K(1,2,3,4)阶相似性

LINE只考虑2-order相似性好吗?为什么不考虑3-order, 4-ord.... 如图1 .4中,我们很明显知道上面一行A1与A2的关系强于下面一行,那么怎么描述这种关系呢? GraRep就是解决这个问题,和LINE思路一样,每个节点两个向量,一个自身向量,一个环境向量。

首先定义k—order相似性:

其中表示对于特定节点w的k-order相似性, 表示为公式1.6(已经使用了负采样优化):

其中表示从w节点经过k跳以后到达c的概率,即为节点k阶转移矩阵。一阶转移矩阵可以用归一化邻接矩阵表示,那么k阶转移矩阵为,即

表示图中k跳的边缘分布,即随机选择开始位置,经过k跳以后到达c的概率:

其中表示节点的先验分布,这里假设为均匀分布,即

将1.6, 1.7代入并令导数为0,可以得到下式:

即求一个矩阵分解即可,丢弃C矩阵(环境向量组成的矩阵),W矩阵即为所求。

Node2vec

Node2vec[2016] : Scalable Feature Learning for Networks

图1.5 BFS和DFS搜索

前面说到Deepwalk其实是基FDFS模型, LINE和GraRep是基于DFS的模型,一般来说基于BFS的模型倾向于获取图中的内容相似性(即局部相似性),基于DFS的夜型更倾向于获取结构相似性。那么能否设计一种可以平衡BFS和DFS的模型呢? Node2vec给出了一种方案,它设计了一个二阶随机游走,通过p, q两个参数来平衡BFS和DIS两种搜索策略。

图1.6是p, q控制的二阶随机游走

图1.6是p, q控制的二阶随机游走的示意图,其中a是关于当前节点v搜索下一个节点2的函数,p,q为超参数,表达式如下:

那么从当前节点v随机游走到下一个节点x的概率就是其归一化形式:

从公式1.9和1.10可以看出, p控制着随机游走以多大的概率“回头”,q控制着随机游走偏向于DFS还是BFS,当q较大时,倾向于BFS, 当q较小时: 倾向于DFS。 特别地,当p, q都为1时,等价于random walk。

node2vec在工业界也十分成功,有两个案列:

Facebook:广告领域定制化受众

Tencent:微信朋友圈广告(Lookalike)策略

Struc2vec

struc2vec[2017]:struc2vec:Learning Node Representations from Structural Identity

Struc2vec认为node的embedding不应该考虑任何相邻性,而是只考虑节点的空间结构相似性。它认为deepwalk和node2vec等模型之所以有效是因为,现实世界中相邻的节点往往有比较相似的空间环境,因此这种方法有效,但是有些时候这种方法会失效,例如图1.7。

图1.7 gragh结构相似形

图1.7中,节点uv,之间可能相隔很远,但是结构上他们却是十分相似的,GE算法应该考虑这种远距离的结构相似形。那么怎么用数学语言描述这种结构相似形呢? 一个直观的想法是,如果两个节点的所有邻居组成的两个序列相似,那么这两个节点就比较相似,实际上,论文正是使用这种方式分层定义结构相似形的。

考虑节点u,令表示与u最短距离为k的节点集合,s(S)表示节 点集合的有序度(degree)序列,定义

g函数是比较两个序列相似度的函数,可以是Dynamic Time Warping(动态时间规整算法),用来计算两个可能长度不等的序列的相似表征节点u, v之间的结构不相似性,可以看出,随着k增大,的感受野越来越大,因此我们需要先在底层k = 1比较节点之间相似性,如果两个节点之间关系较紧密,我们需要在更高层次(更大感受野)来度量两个节点的相似性,公式1.13反应出这一点(倾向于向上游走)。

构造分层图,同层之间节点之间的权值如公式1.12,相邻层对应节点的权值为公式1.13

接下来就是随机游走构建sequence了,首先每一步有一个概率p在本层, 1-p跳出本层,如果在本层按照公式1.14采样下一个节点,如果跳出本层,按照公式1.15来选择上一层还是下一层:

关于struc2vec有一个很成功的工业应用:蚂蚁金服风控模型。应用了struc2vec后,相比于node2vec有质变(AUC 70+ -> 90+)。

GraphSAGE

GraphSAGE[2017] : Inductive representation learning on large graphs

介绍一组概念:

  • 直推式学习:直接根据graph学习到个N x F的矩阵,graph结构变化是要重新学习的

  • 归纳式学习:利用节点邻域信息直接学习出新增节点(unseen node) 的embedding表示

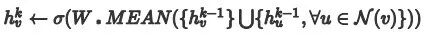
前面介绍的模型全部都是直推式学习,换句话说当graph变化时,需要重新学习。GraphSAGE是归纳式学习的一个代表,它不直接学习每个节点的表示,而是学习聚合函数,学到了聚合函数以后,对于新增的节点我直接生成它的embedding表示,而不需要重头学习。下面算法就是GraphSAGE的核心内容了,图1.8更形象的表示这一算法。

图1.8 GraphSAGE模型示意图

该算法分为两步:

1.邻居采样:因为每个节点的度是不一致的,为了计算高效,为每个节点分层(K层)采样固定数量的邻居。

2.邻居特征聚集:通过聚集采样到的邻居特征,更新当前节点的特征,网络第k层聚集到的邻居即为BFS过程第k层的邻居采样。

Aggregator function要求要对顺序不敏感,因为random选择的node本身是无序的,可以有如下几种选择,当然也可以自己设计:

  • Mean aggregator:

  • LSTM aggregator: LSTM输入是有序的,每次采样的node需要shuffle一下

  • Pooling aggregator:

  • GCN aggregator:图卷积聚合器,后文再表

CANE

CANE[2017] : Context-Aware Network Embedding for Relation Modeling

图1.9 附带文本信息得社交网络

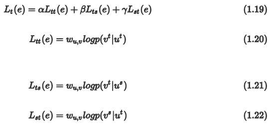
前面所有模型都是在图结构上做文章,但是现实世界中节点和边上有丰富的信息(如图1.9),包括我们组现在遇到问题(我们在对拼车的规模与成本之间关系建模),节点和边的信息都是不可忽略的。我们应该使用这些信息,由于graph embedding是伴随社交网络发展的,所以大多数文章把节点上的信息当做文本信息处理,类似的模型还有CENE,将文本转化为特殊的节点,这样就有两种连边,(节点-文档)以及(节点-节点),对两种边一起建模,trans-net将机器翻译的一些东西引进来,这些都是和nlp相关的,就不都说了,这里只简单介绍CANE,CANE兼顾结构相似性和文本内容相似性,应用attention机制, 可以自适应地计算文本之间的相似性。

图1.10 CANE模型框架示意图

图1.9是CANE的框架示意图,从最底层看,使用训练好的词向量(就是一开始我们提到的word2vec)先把每个节点的文本信息表示为一个矩阵,然后使用行卷积变换;接着PQ和一个Attention系数矩阵执行运算,表示着 对的重要程度,然后分别采用的row-pooling和column-pooling +softmax产生一个注意力向量,比如就表示vP每列的重要程度;最后使用注意力向量和原词向量矩阵相乘得到最终的vuuv的text向量,分别表示为,和损失函数由两部分表示,一部分代表结构相似性, 另一部分代表文本信息相关性:

考虑结构相似性,和LINE相似:

文本相似性由三部分组成,分别为text-text相似性,text-structure相似性 和structure-text相似性:

当然,对于公式中所有的softmax,都需要使用负采样加速的。

SDNE

SDNE[2016]: Structural Deep Network Embedding

严格来说,前面所有模型都是浅层模型,SDNE是一个基于自编码器的深度模型,图1.11 是该模型的架构示意图

图1.11 SDNE模型示意图

SDNE基于深度自编码器,它的输入是graph的邻接矩阵,每个node对应一行,该行表示该node与其他所有node是否有边。它的损失函数有两部分组成,第一部分是基于“如果两个node有边,那么他们应该是相似”的事实,第二部分是重建所示,公式如下:

注意是正则化项。是重建损失,表达式为公式1.24:

这里面有一个小trick,就是公式里的B,它会增大对0的惩罚,即对于xi=0, bi较大, 对于xi≠0, bi较小。这里是基于两个考虑:

  • 一般来说邻接矩阵都比较稀疏,如果不对向量中的0做特殊惩罚,容易得到0向量的平凡解。

  • 原始图中两个node之间没有边(邻接矩阵中对应值为0),并不代表他们真的没有关系,可能因为图不完整或者两个节点不是直接相连而是K-hop邻域(K > 1)。

控制有边的两个node, embedding得到的向量接近,表达式为公式1.25:

其中表示两个节点的边权。

GraphGAN

GraphGAN[2018] : GraphGAN: Graph Representation Learning with Generative Adversarial Nets

如果评出最近两年最火的模型是什么?那么GAN一定在候选名单中,GAN和VAE是目前最优秀也是最经常拿来比较的两个深度生成模型,顺便提一句,最近有一篇paper: Variational Inference: A Unified Framework of Generative Models and Some Revelations将GAN和VAE统一到变分推断的框架下,作者大喊一句:你们别打了,都是自家兄弟,相煎何太急。

回归正题,最火的模型当然也要在最火的方向参合-脚,这就是GraphGAN, 类似的模型还有ANE(Adversarial Network Embedding),这里只介绍GraphGAN。

GraphGAN思想是,生成器生成一条图中不存在的边,判别器判断一条边是否为图中存在的边,当训练完全以后,生成器生成的边和图中真实存在的边无法分辨,即embedding成功,换句话说生成器逼近网络一阶信息

先看GraphGAN的目标函数:

公式1.26可以这样理解:

  • 固定; 只有后面一项和有关,最小化后面一项相当于最大化,其中v是从采样的,换句话说v是生成器G生成的样本。也就是说的目的是让判别器D认为生成器G产生的样本为真,这是优化生成器。

  • 固定;两项都和有关,对于第一项,最大化第一项相当于最大化,其中v是从采样的,换句话说是让判别器D认为真实的样本为真;对于第二项,最大化第二项相当于最小化,其中v是从采样的,换句话说是让判别器D认为生成器G产生的样本为假。这是优化判别器。

所有的GAN的loss函数(最小最大游戏)都可以这么理解。现在看看生成器和判别器的形式:

如上,判别器是一个sigmoid函数,生成器是一个softmax函数,实际上你可以设计任何合理的生成器与判别器。正如我们所见,式1.27是一个softmax, 我们需要优化它,论文中作者设计了一种叫做GraphSoftmax的优化方法,这里不详细介绍了,有兴趣的同学移步论文。

GraphWave

GraphWave[2018]: Learning Structural Node Embeddings via Diffusion Wavelets

模型特点:

完全非监督,不需要任何先验知识。对比以往的模型,大多需要一些先验,比如struc2vec的先验是一个节点的局部性可以由其邻居的度序列表示(关于struc2vec,以及其他主流GE方法,这篇文章有详细介绍);然而GraphWave只需要输入拉普拉斯矩阵即可。

完整的数学证明——数学使人安心。以前的方法都是启发式的,这篇论文作者使用大量篇幅证明使用GraphWave,结构等价/相似的节点具有近乎相同/相似的嵌入。在数学上的保证总能给人心安不是吗?

总结

前面说了很多GE的模型,从古典方法,到只考虑结构的模型,再到考虑节点和边extra info的模型,再到深度模型,大家可能觉得眼花缭乱,并不知道实际中应该用哪个模型。

这里我提示一句,你选择的模型一定要和你的实际问题相关:

  • 比如如果你的问题更加关注内容相似性(局部邻域相似性)那么你可以选择node2vec, LINE, GraRep等;

  • 如果你的问题更加关注结构相似性,你可以选择struc2vec, 这里可以简单说一下为什么 蚂蚁金服风控模型使用struc2vec相比node2vec有质的提升,这是因为在风控领域,你可信并不能代表你的邻居可信(有些“大V”节点邻居众多),但是一个直观的感觉是,如果两个人在图中处于相似的地位(比如两个“大V"),那么这两个人应该都可信或都不可信,并且-般来说这样的两个人(节 点)都相聚比较远;

  • 再者如果你的模型需要考虑节点和边的额外信息,那么你可选择CANE, CENE, Trans-net等 ;

  • 如果你想处理大规模易变图,你可以采用GraphSAGE, 或者先使用其他GE方法,再使用GraphSAGE归纳学习;

  • 如果你想微调你的模型,你可选择GraphGAN;

  • 甚至你可以选择很多GE方法,并将得到的embedding向量进行聚合,比如concat等方式;

总之,选用什么模型取决你的问题!

 

图卷积(Graph CNN)

前面是GE领域的概述了,现在要说的是另一个事情就是图卷积(Graph Convolutional Neural Network,GCN),其实这相对于GE是另一个思路,GE基于高维相似性映射到低维以后也是相似的,我们想使用深度学习应该先学习图嵌入(借鉴nlp中的word2vec) ,而GCN就是直接端到端分类或回归,当然也可以先使用进行图嵌入,拿到嵌入向量以后进行gcn,另外gcn很多时候会附带的产生图嵌入。

一般来说GCN分为两大类,一种是谱图卷积,是在傅里叶域进行卷积变换;另一种是非谱图卷积(也叫做“空间域卷积”),是直接在Graph上进行卷积。我们分别介绍这两类,图2.1 是GCN的大家族。

图2.1 Graph CNN的大家族

Spectral Convolution

谱图卷积需要补充一些理论知识。如果没有这些背景知识,你是看不懂GCN的,或者仅仅是一知半解,不会有深入的理解(关于这块的详细解释,见github原文)。

• Graph拉普拉斯算子

• Graph上的傅里叶(逆)变换

• Graph上的谱图卷积

1st  Spectral Convolution: Spectral Networks and Locally Connected Networks on Graphs

Graph上的谱图卷积表达式为:

写成矩阵形式为:

公式2.15是我们推导半天的最终成果了,分别为Graph原特征的傅里叶变换和卷积核的傅里叶变换,两者点乘,再左乘U即为原空间的卷积。

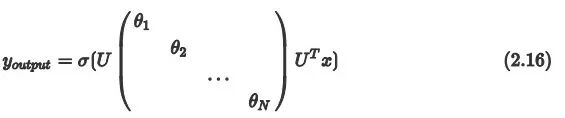
那么第一代谱图卷积就呼之欲出了,只需要把作为卷积核参数即可!表达式如下:

大功告成!我们现在可以按照式2.16进行谱图卷积了。但是1st Spectral Convolution还有一些不完美的地方:

  • 计算量大,每次卷积运算都要进行矩阵相乘,计算复杂度(即使使用优化的斯坦福算法复杂度也是,且需要特征分解,特征分解复杂度为,没有spatial localization(空间局部性),传统的CNN受控于感受野,每次卷积只需考虑一小部分邻域,但是GCN是每一次卷积都要考虑所有的节点。

  • 参数个数, 传统的CNN参数个数是常数,例如3*3的卷 积核有9个参数。

2nd  Spectral Convolution

2nd  Spectral Convolution[2016] : Convolutional neural networks on graphs with fast localized spectral filtering

1st  Spectral Convolution有一些不完美的地方, 2nd Spectral Convolution就是解决这些问题的! 我们先把图卷积重写:

其中A是特征值组成的对角矩阵,那么对于1st  Spectral Convolution,

对于2nd Spectral Convolution,把改为如下形式

我们把式2.19代入到2.17得到第二代卷积的公式:

式2.20推导过程中应用了特征分解的性质

公式2.20即为第二代卷积公式,当我们事先把计算好,每一步只需要向量与矩阵相乘,复杂度降低为,如果使用稀疏矩阵算法,复杂度为,但是第二代卷积怎么体现spatial localization呢?

这里介绍一个拉普拉斯算子的性质:

Lemma2.1:如果,则

, 表示图G中节点mn的最短距离。

由Lemma 2.1可知,式2.20的卷积公式仅使用K-hop邻域,即感受野半径是K

论文中提到另一种优化方式,将利用切比雪夫展开来优化计算复杂度,优化后计算复杂度也为O(K|E|),我本身没有看出有什么加速.

切比雪夫展开:任何k次多项式都可以使用切比雪夫多项式展开

切比雪夫展开公式为:

将2.20中的使用切比雪夫展开可得:

其中,这是为了将L的谱半径约束到[-1, 1],使得在连续相乘的时候不会爆炸。

总结2nd Spectral Convolution:
计算复杂度降低为O(K|E)
只考虑K-hop邻域,有一定的空间局部性

3rd Spectral Convolution[2017] : Semi-supervised classification with graph convolutional networks

到第二代,谱图卷积已经基本成型,第三代GCN改动不大了,概括两个点:

1.令K=1,即每层卷积只考虑直接邻域,这类似于CNN中3*3的kernel。

2.深度加深,宽度减小(深度学习的经验,深度>宽度)。

总结2nd Spectral Convolution:

  • 计算复杂度降低为O(|E|)

  • 只考虑1 - hop邻域,通过堆叠多层,获得更大的感受野

Spatial Convolution

前面讲的都是基于谱图理论的卷积,思想是在原空间卷积不好做,那就在图拉普拉斯算子的傅里叶域做。那么是否可以直接在原空间做卷积呢?答案是可以的,Spatial Convolution(空间域卷积)就是直接在图上做卷积,我们知道卷积核大小是固定的,也就是我们需要选择固定大小的邻域来做卷积,但是相比于规则网格结构,graph中的节点通常具有不同个数的邻域,这是在原空间做卷积的主要困难。

DCNNs[2016] : Diffusion-convolutional neural networks

图2.2 DCNNs用于Node分类和Graph分类的示意图

DCNNs可以应用于两种任务,一个是节点分类,一个Graph分类, 我们先说节点分类任务。对于节点分类任务,卷积公式为:

其中表示第t个Graph , 第l节点的第k个特征;表示i节点经过j跳以后达到l节点的概率,,的转移矩阵,j跳转移矩阵,f为非线性激活函数;为卷积核。将式2.27表达为张量形式为:

对于Graph分类任务,对于上的每个节点i,取H跳的所有邻居的第F个特征求均值,乘以权值即可,表达式如下:

得到Z以后,按照图2.2架构网络即可。

DCNNS总结:

●卷积核参数O(H*F)

●考虑H跳邻域

CNN4G[2016] : Learning convolutional neural networks for graphs

该模型是针对Graph分类任务的,主要思路是选出一-些节点代表整个Graph,并为每个节点选出特定个数的邻域,然后在每个节点和其邻域节点组成的矩阵上做卷积。

算法步骤:

  1. 找出w个节点,这w个节点可以代表整个Graph,文章使用的是centrality的方法,即选出w个最中心的节点。具体的计算该node与所有node距离和,距离和越小越中心,如图2.3中,左边红色节点与其他所有节点距离和为23,右边红色节点为25,所以左边红色节点更中心,应该优先选它。

  2. 为每个节点找出K个邻域,作为该节点的感受野,如图2.4

    2.1先选出一阶邻域,一 阶邻域不够就选-二阶邻域,直到至少K个节点,或者没有节点可选.

    2.2选出的节点如果不够,补充0向量,如果多了就按照中心rank排名删除后面的节点.

  3. 选出的w个节点,每个节点和其邻域节点都可以组成规则的(K + 1) * F的矩阵,而所有的边也可以组成-个(K +1)*(K + 1)* F的张量,在这些张量上做卷积,如图2.5。

    图2.5 对每组节点卷积示意图

GAT[2018] : Graph Attention Networks

该模型结合了注意力机制,可以动态计算节点之间的相关性,并且该模型可以直推式学习,也可以归纳式学习,是非谱图卷积领域里state-of-the-art的方法,在很多公开数据集取得了非常好的效果。

图2.6 注意力机制与multi-head注意力机制

这个模型最最重要的就是attention,即动态计算邻域节点和该节点的强度关系,我们将看到只要用到attention的思路都是一样的, 论文Attention is all you need总结的很精准。

GATs的输入是节点特征的集合

其输出是经过变换后的节点特征集合

注意力系数计算如下:

其中a表示注意力机制函数, 将上式归一化得到:

其中表示节点i的邻域节点集合。

将注意力机制函数用单独一层神经网络来表示,参数为

,则式2.31可写为:

其中||表示concat运算。一旦得到注意力系数,则输出即为变换后的特征与注意力系数的线性组合:

如图2.6所示,我们可以设计K注意力系数,并将它们的结果聚合起来,聚合函数可以选择concat或者avg

我们可以用多个GAT layer嵌套起来,已获得更大感受野。

总结

一般来说GCN分为两大类,一种是谱图卷积,是在傅里叶域进行卷积变换;另一种是非谱图卷积(也叫做“空间域卷积"),是直接在Graph.上进行卷积。谱图卷积有一套统一的理论支持,但是有时候会受到图拉普拉斯算子的限制;空间域卷积更加灵活,主要困难在于选择定量邻域上,很多模型千奇百怪,没有统一理论,更多是一种trick。

基于图的序列建模

接着一块说说图序列建模吧,这类问题相对较少,比较典型的例子是交通路网数据,短期内路网结构可以认为是不变的,但是里面的数据是流动的,换句话说graph是固定的,但是里面的数据是时间序列的,类比于视频预测一样,预测接下来一段时间,图中数据的变化,例子路网eta,路网流量预测等问题。

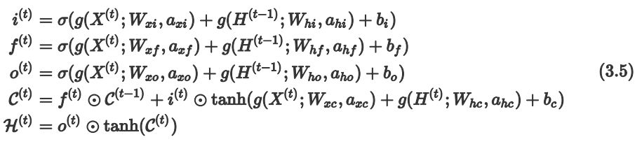
先简单说一下ConLSTM的思路,假设我想做视频预测的任务,那么我需要获取每一帧图像的空间(欧几里得空间)信息,同时视频的连续帧之间具有时间相关性,也就是说我需要同时获取空间和时间相关性。但是传统的LSTM输入是一维向量,如果我将视频每一帧图像展开为-维向量,那么将失去他们的空间信息。如果我可以让LSTM可以处理输入为二维的图像,那该多好啊,我们就可以同时获取其空间和时间信息,这就是ConvL STM解决的问题。简单来说ConvLSTM将LSTM中所有的矩阵相乘运算换为卷积网络,详细内容大家可以参看论文ConvolutionalLSTMNetwork:A.Machine Learning Approach for PrecipitationNowcasting。

DCRNNS

DCRNNs[2018]:DiffusionConvolutional Recurrent NeuralNetwork: Data-Driven Traffic Forecasting

Graph上的时间序列建模问题可以描述为:

即Graph固定下,根据前一段序列预测后一段序列,是一个seq2seq问题。

有了ConvLSTM的思路,我们很自然可以想到,将GCN和RNN结合起来,改造出新的适合处理Graph输的RNN模型即可,DCRNNs就是将DCNNs和GRU结合起来的例子,为了可以抓取上游和下游的信息,作者对DCNNs增加了双向扩散,双向扩散卷积公式如下:

其中DoDi分别表示出度矩阵和入度矩阵,式3.2计算的是第p的特征(通道)的卷积公式,对于有Q个卷积核的卷积运算表达式如下:

其中q=1,2,…Q,那么将式3.3应用到GRU中,可以得到DCGRU表达式:

实际上该问题是一个seq2seq建模问题,因此我们可以使用常用的encoder-decoder框架,如图3.1

图3.1DCRNNs

3.2GAT-LSTM

GAT-LSTM[2019]: Graph Attention LSTM

这篇论文是鄙人的一点小小贡献,和上面DCRNNs一样,只不过我将DCNNs换成更加强大的GATs。我解决的是城市路网的交通流预测,城市路网是有潮汐现象的,所以其实路网之前的权值是不固定的,应该是变化的,DCRNNs路网权值是固定的,是一个距离的函数。

GAT-LSTM公式如下:

图3.2是GAT-LSTM变换的示意图,图3.3是我使用的encoder-forecaster框架,其中虚线代表状态拷贝,使用encoder-forecaster框架是基于如下考虑:

●编码-解码网络的解码器一般还需要输入,训练期间使用标准值,推断期间使用预测值;而编码预测

网络的预测网络是不需要额外输入的,这可以避免推断期间的误差传递

●编码-解码网络的编码器和解码器可以是完全不相关的模型,但是编码-预测网络的编码器与预测器是对称的,这是因为编码器中高层次的状态已经获得了全局的时空关系,可以指导和更新预测器低层状态

图3.2 GAT-LSTM特征变换示意图

图3.3encoder- forecaster框架示意圏

3.3.总结

基于Graph的序列建模研究的不多,目前主流方法是使用GCN改造RNN,是的模型可以同时获取Graph的空间相关性和时间相关性。

GNN应用简介

社交网络数据挖掘

社交广告(lookalike)/社区挖掘/link prediction

CV领域,尤其是3D

例如:基于人体骨架关键点的人类动作识别——ST-GCN(AAAI 2018)。

ST-GCN主要原理:

1. 在每一帧内部,按照人体的自然骨架连接关系构造空间图;

2. 在相邻两帧的相同关键点连接起来,构成时序边;

3. 所有输入帧中关键点构成节点集(node set),步骤 1、2 中的所有边构成边集(edge set),即构成所需的时空图。

Image Captioning(ECCV 2018)

NLP

GNN在NLP应用不多,这里就整体在high level上简单介绍GNN的应用吧:

在20NG/ohsumed/R52和R8/MR测试,其中MR输于CNN域LSTM的方法,这可能因为词序对情感分类是一个不可不略的特征。

这也侧面反应了目前GCN与NLP融合的境况,忽略词序的任务可能比较适合,但是很多NLP任务都是seq相关的,这也是为什么2019年了GCN还在研究怎么文本分类...

一个可能的解法是使用LSTM进行encoding获得序列特征+GCN获取的非序列特征融合+Attention也许是处理NLP中序列建模的一个方向。

例如:文本分类(AAAI 2019)/Semantic Role Labeling(EMNLP 2017)

知识图谱

TransE:KG Embedding baseline, TransE是知识图谱embedding方法,基本思想是对于一个三元组(h,r,t) 其嵌入向量使得h+r-l = 0。衍生:TransH/TransR/TransD/TransE/TransA

R-GCN:节点分类/link-prediction

Relational Graph Attention Networks(ICLR 2019 openreview)

R-GCN是第一次GCN引入知识图谱,时间节点在(2017年)。基本思路,每种relation搞一个L,link predicition基本思路是有一个打分函数,会对每个entity embedding和relation打分。负采样为负样本。

Zero-shotRecognitionvia Semantic Embeddings and Knowledge Graphs(基于语义嵌入和知识图谱零次识别)

Convolutional2DKnowledgeGraph Embeddings(卷积二维知识图谱嵌入)

生物制药

对于自然科学中物质结构的研究,例如:molecule generated with graph VAE

交通领域

路况预测/ETA/滴滴供需预测(AAAI 2019)

基于图卷积路况预测的ETA深度模型

文章到此就算结束了,本文对当前主流的Graph神经网络进行了综述,最后总结一句话:如果你的问题适合建模为Graph,那么你应该把80%的经历花在构图上,只要你的Graph足够准确,数据足够精确且丰富,那么你可以有一万种方法解决你的问题。

以上全当是抛砖引玉,希望对大家有所帮助。更多更详细的内容,可关注作者GitHub获取:

https://github.com/talorwu/Graph-Neural-Network-Review

相关文章:

1. “噪声对比估计”杂谈:曲径通幽之妙:   https://blog.csdn.net/c9yv2cf9i06k2a9e/article/details/80731084

2. Facebook:广告领域定制化受众:  http://geek.csdn.net/news/detail/200138

3. Tencent:微信朋友圈广告(Lookalike)策略: http://www.sohu.com/a/124091440_355140

4. 金融智能在蚂蚁金服的发展与应用:   https://www.sohu.com/a/162168329_99940985

5. Attention is all you need:https://arxiv.org/abs/1706.03762

Graph Embedding Review:Graph Neural Network(GNN)综述的更多相关文章

  1. 论文笔记:(2019)GAPNet: Graph Attention based Point Neural Network for Exploiting Local Feature of Point Cloud

    目录 摘要 一.引言 二.相关工作 基于体素网格的特征学习 直接从非结构化点云中学习特征 从多视图模型中学习特征 几何深度学习的学习特征 三.GAPNet架构 3.1 GAPLayer 局部结构表示 ...

  2. 论文笔记:Person Re-identification with Deep Similarity-Guided Graph Neural Network

    Person Re-identification with Deep Similarity-Guided Graph Neural Network 2018-07-27 17:41:45 Paper: ...

  3. 论文解读(GCC)《GCC: Graph Contrastive Coding for Graph Neural Network Pre-Training》

    论文信息 论文标题:GCC: Graph Contrastive Coding for Graph Neural Network Pre-Training论文作者:Jiezhong Qiu, Qibi ...

  4. GNN 相关资料记录;GCN 与 graph embedding 相关调研

    最近做了一些和gnn相关的工作,经常听到GCN 和 embedding 相关技术,感觉很是困惑,所以写下此博客,对相关知识进行索引和记录: 参考链接: https://www.toutiao.com/ ...

  5. GNN 相关资料记录;GCN 与 graph embedding 相关调研;社区发现算法相关;异构信息网络相关;

    最近做了一些和gnn相关的工作,经常听到GCN 和 embedding 相关技术,感觉很是困惑,所以写下此博客,对相关知识进行索引和记录: 参考链接: https://www.toutiao.com/ ...

  6. 论文解读《Bilinear Graph Neural Network with Neighbor Interactions》

    论文信息 论文标题:Bilinear Graph Neural Network with Neighbor Interactions论文作者:Hongmin Zhu, Fuli Feng, Xiang ...

  7. Skeleton-Based Action Recognition with Directed Graph Neural Network

    Skeleton-Based Action Recognition with Directed Graph Neural Network 摘要 因为骨架信息可以鲁棒地适应动态环境和复杂的背景,所以经常 ...

  8. Graph Embedding总结

    图嵌入应用场景:可用于推荐,节点分类,链接预测(link prediction),可视化等场景 一.考虑网络结构 1.DeepWalk (KDD 2014) (1)简介 DeepWalk = Rand ...

  9. 论文阅读 Real-Time Streaming Graph Embedding Through Local Actions 11

    9 Real-Time Streaming Graph Embedding Through Local Actions 11 link:https://scholar.google.com.sg/sc ...

随机推荐

  1. array 数组

  2. 【洛谷4045】[JSOI2009] 密码(状压+AC自动机上DP)

    点此看题面 大致题意: 给你\(n\)个字符串,问你有多少个长度为\(L\)的字符串,使得这些字符串都是它的子串.若个数不大于\(42\),按字典序输出所有方案. 状压 显然,由于\(n\)很小,我们 ...

  3. javascript判断mp3是否播放完

    javascript判断mp3是否播放完 var audio=document.getElementById('audio'); if(audio){ audio.loop = false; audi ...

  4. HashMap的底层原理(jdk1.7.0_79)

    前言 在Java中我们最常用的集合类毫无疑问就是Map,其中HashMap作为Map最重要的实现类在我们代码中出现的评率也是很高的. 我们对HashMap最常用的操作就是put和get了,那么你知道它 ...

  5. 在 .NET Core 中使用异步的 ADO.NET 的简单示例

    直接贴代码: Program.cs using Microsoft.Extensions.Configuration; using System; using System.Data; using S ...

  6. mongodb实现文件存储系统

    前言:这种坑很深呀,要对应mongodb的版本跟php支持的版本,然后,如果要用composer安装第三方的库,一定要一一对应的 正片开始! 开发环境: 系统:window 开发语言:php+apac ...

  7. 新手入门必看:VectorDraw 常见问题整理大全(二)

    VectorDraw Developer Framework(VDF)是一个用于应用程序可视化的图形引擎库.有了VDF提供的功能,您可以轻松地创建.编辑.管理.输出.输入和打印2D和3D图形文件.该库 ...

  8. SPC软控件提供商NWA的产品在各行业的应用(石油天然气行业)

    Northwest Analytical (NWA)是全球领先的“工业4.0”制造分析SPC软件控件提供商.产品(包含: NWA Quality Analyst , NWA Focus EMI 和 N ...

  9. Qt我的文档 桌面路径

    我的文档 QString location = QStandardPaths::writableLocation(QStandardPaths::DocumentsLocation); 桌面 QStr ...

  10. Retrofit+Okhttp+RxJava打造网络请求之Post

    之前一直在准备Android培训的事情,所幸的是终于完事啦,在这过程中真的发现了自身无论从沟通能力还是技术能力上很多的不足,就用一句 路漫漫其修远兮,吾将上下而求索 来勉励自己吧.之前也在项目上用上O ...