概率图模型&机器学习 -- 精确推断方法 -- 变量消去(Variable Elimination)和信念传播(Belief Propagation)
参考资料
- 西瓜书
- An introduction to hidden Markov model -- Rabiner, Juang
- 【机器学习】【白板推导系列】【合集 1~33】_哔哩哔哩_bilibili
- CS 228 - Probabilistic Graphical Models
- Max-product algorithm
Inference
推断就是在求各种概率。比如常见的:
- Marginal:假设随机变量\(x_1,...,x_n\) 和联合概率分布\(P(x_1,...,x_n)\),求\(P(x_i)\).
- Conditional:\(P(Y\mid D)\), \(P(O_{1:k}\mid \lambda)\).
最基本的方法:用积分进行边际化、条件概率公式。
下面讨论精确推断方法。它们本质上都是动态规划方法,核心思想都是存储下子问题的结果,以克服重复计算。
Variable Elimination (VE, 变量消去法)
Motivation Example: Markov Chain
直接积分求边缘概率

根据概率图模型基础知识,该模型的联合概率密度\(P(a,b,c,d,e)\)可以写成:
\]
对于随机变量\(e\),计算其边缘概率,可以对剩下几个随机变量求和:
\]
假设都是离散型随机变量,每个随机变量的取值\(a,b,c,d,e \in \{v_1,...,v_k\}\),那么上述的边缘概率所需的计算量是\(k^4\) (只看循环).
更一般地,对于\(N\)个随机变量的马尔可夫链,每个随机变量的取值有\(K\)种,计算任一变量的边缘概率所需的时间复杂度是\(O(K^{N-1})\).
计算量比较大,因为直接积分的方法没有利用Markov Chain的结构性质。
用变量消去法简化运算
是一种很简单而且广泛使用的方法,核心思想:
- 理论基础:根据乘法分配律,调换求和的顺序。
- 目的:调换求和顺序后,可以进一步利用(图)模型描述的变量之间的关系来简化运算。
比如还是考虑上面的Markov Chain:

对于刚才的直接求和式子,调换一下顺序可以得到:
P(e) &= \sum_a\sum_b\sum_c\sum_d P(a)P(b\mid a)P(c\mid b)P(d\mid c) P(e\mid d)\\
&= \sum_b\sum_c\sum_d P(c\mid b)P(d\mid c) P(e\mid d) \sum_aP(a)P(b\mid a) \\
\end{aligned}
\]
式子\(\sum_a P(a)P(b\mid a)\)相当于把\(a\)给积掉了,求了个对\(b\)的边缘概率,我们简写成\(\psi_a(b)\)代回上式:
P(e) &= \sum_b\sum_c\sum_d P(c\mid b)P(d\mid c) P(e\mid d) \psi_a(b)
\end{aligned}
\]
这里可以看出计算量是如何减少的。本来是\(k^4\)次,现在只需要先计算出\(\psi_a(b)\),然后再计算三层的和式,即只需要\(k^3 + k\)次计算。
还可以进一步调换循环顺序,把对\(c\)的边缘概率记作\(\psi_b(c)\),则有:
P(e)&= \sum_c\sum_d P(d\mid c) P(e\mid d) \sum_b P(c\mid b) \psi_a(b) \\
&= \sum_c\sum_d P(d\mid c) P(e\mid d) \psi_b(c)
\end{aligned}
\]
同理,现在只需要\(k^2 + 2k\)次计算。还可以继续把剩下的两个和式都消去,最后计算\(P(e)\)就只需要\(4k\)次计算了,指数复杂度简化成了多项式复杂度。
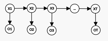
Example: Forward Algorithm
问题描述
考虑如下的隐马尔科夫模型 (HMM):

- 隐变量取值:\(X_t \in \{q_1, q_2,...,q_N\}\).
- 观测变量取值:\(O_t \in \{v_1,v_2,...,v_M\}\).
- 隐变量状态转移矩阵:\(a_{ij}=P(X_{t+1} = q_j \mid X_t = q_i)\).
- 观测变量概率分布:\(b_j(k) = P(O_t = v_k \mid X_t=q_j)\).
- 初始状态分布:\(\pi(X_1 = q_i) = P(X_1 = q_i)\).
后三个是模型的参数,合并在一起时写作\(\lambda = <a,b,\pi>\).
问题:给定一段长度为\(T\)的观测序列\(O_{1:T} = \{O_1,...,O_T\}\)和模型\(\lambda\),欲推断如下概率:
\]
问题转化
使用条件概率公式,再代入模型参数,上式可以转化为:
P(O_{1:T} \mid \lambda) &= \sum_{\text{all } X_{1:T}} P(O_{1:T} \mid X_{1:T}, \lambda) P(X_{1:T}\mid \lambda) \\
&= \sum_{X_1,X_2...X_T} b_{X_1}(O_1)b_{X_2}(O_2)...b_{X_{T-1}}(O_T)~~\pi(X_1 = q_i)a_{X_1X_2}a_{X_2X_3}...a_{X_{T-1}X_T}
\end{aligned}
\]
和刚才的Markov Chain一样,要直接积分计算的话,需要枚举所有可能的隐变量取值,计算量非常大。
使用VE方法简化计算
同样也可以考虑调换求和顺序来化简:
P(O_{1:T} \mid \lambda) &= \sum_{X_1,X_2...X_T} b_{X_1}(O_1)b_{X_2}(O_2)...b_{X_{T-1}}(O_T)~~\pi(X_1 = q_i)a_{X_1X_2}a_{X_2X_3}...a_{X_{T-1}X_T}\\
&=\sum_{X_{2:T}}...b_{X_2}(O_2)\sum_{X_1}\pi(X_1 = q_i) b_{X_1}(O_1) a_{X_1X_2}
\end{aligned}
\]
像在Markov Chain里那样,定义\(\psi(X_2) = \sum_{X_1}\pi(X_1 = q_i) b_{X_1}(O_1) a_{X_1X_2}\),可以进一步化简:
P(O_{1:T} \mid \lambda) &= \sum_{X_2...X_T} b_{X_2}(O_2)...b_{X_{T-1}}(O_T)~~\psi(X_2)a_{X_2X_3}...a_{X_{T-1}X_T} \\
&=\sum_{X_3...X_T}...b_{X_3}(O_3)\sum_{X_2}\psi(X_2)b_{X_2}(O_2) a_{X_2X_3}
\end{aligned}
\]
一步一步化简下去,计算量会大大减少。
使用前向算法递推计算
下面是前向算法的一般化描述,之后会尝试说明前向算法就是变量消去法。
首先定义:
\]
容易知道\(P(O_{1:T}\mid \lambda)= \sum_{i=1}^N \alpha_T(i) = \sum_{X_T} P(O_{1:T}, X_T \mid \lambda)\).
\(\alpha_t(i)\)表示的是前\(t\)次观测为\(O_{1:t}\),并且在\(t\)时刻的隐状态\(X_t = q_i\)的概率。可以用递推的方式求解:
- \(\alpha_1(i) = \pi(X_1=q_i)b_{q_i}(O_1)\).
- \(\alpha_{t+1}(j) = [\sum_1^N \alpha_t(i)a_{ij}]b_j(O_{t+1})\), \(1\le j \le N\).
要直接理解这个递推式非常容易:\(\alpha_t(i)\)乘\(a_{ij}\)得到\(P(O_{1:t},X_t = q_i,X_{t+1}=q_j\mid \lambda)\),再做边际化,消去了\(X_t\)就得到\(P(O_{1:t},X_{t+1}=q_j\mid \lambda)\),最后乘上\(b_j(O_{t+1})=P(O_{t+1}\mid X_{t+1}=q_j)\),就得到了\(\alpha_{t+1}(j)\).
前向算法就是VE方法
把\(\alpha\)代入到上面的变量消去过程来进一步理解:
P(O_{1:T} \mid \lambda) &= \sum_{X_1,X_2...X_T} b_{X_1}(O_1)b_{X_2}(O_2)...b_{X_{T-1}}(O_T)~~\pi(X_1 = q_i)a_{X_1X_2}a_{X_2X_3}...a_{X_{T-1}X_T}\\
&=\sum_{X_{2:T}}...b_{X_2}(O_2)\sum_{X_1}\pi(X_1 = q_i) b_{X_1}(O_1) a_{X_1X_2}\\
&=\sum_{X_{2:T}}...b_{X_2}(O_2) \sum_{i=1}^N \alpha_1(i) a_{iX_2}
\end{aligned}
\]
用VE方法更换求和顺序,再把\(\alpha\)代入后,得到了和前向算法递推式一样的形式,这就说明了前向算法其实就是一种变量消去法。
Belief Propagation -- Sum-product
Motivation: 变量消去法中的重复计算

考虑上方无向图模型,进行因子分解可得:
\]
其中\(Z\)是规范化因子 (之后省略不写)。考虑计算\(P(c)\)和\(P(b)\),利用变量消去法,可以写出:
P(c) &= \sum_a\sum_b\sum_e\sum_d \phi(a,b)\phi(b,c)\phi(c,d)\phi(c,e)\\
&= \sum_b\phi(b,c)\sum_a\phi(a,b) \sum_d \phi(c,d) \sum_e \phi(c,e)\\
&= \sum_b \phi(b,c)m_{ab}(b)m_{dc}(c)m_{ec}(c)\\
&= m_{abc}(c)m_{dc}(c)m_{ec}(c)
\end{aligned}
\]
P(b) &= \sum_a\sum_c\sum_d\sum_e \phi(a,b)\phi(b,c)\phi(c,d)\phi(c,e)\\
&=\sum_a\phi(a,b) \sum_c \phi(b,c)\sum_d\phi(c,d)\sum_e \phi(c,e)\\
&=m_{ab}(b) \sum_c\phi(b,c) m_{dc}(c) m_{ec}(c)\\
&=m_{ab}(b) m_{dcb \text{ and }ecb}(b)
\end{aligned}
\]
这里把求和之后的式子用\(m\)来简单表示,下标表示计算过来的路径。
很容易可以看出重复计算的部分,比如\(m_{dc}(c)\)和\(m_{ec}(c)\),在求\(P(c)\)的时候算了一次,求\(P(b)\)的时候又算了一次。
Sum-product
一个很自然的想法是在求边缘概率之前,把所有的\(m\)都先计算出来,减少冗余计算。信念传播算法给出了一种计算树形概率图的所有\(m\)的方法。
Sum-product第一步:Collect Message,算法会先任意选择一个点作为根节点,然后进行树的后序遍历,信息从叶子向根节点更新。对于任意节点\(u\),假设父节点是\(p\),子节点的集合是\(\text{son}(u)\),计算从节点\(u\)到父节点\(p\)的\(m\)值,可以看作是从\(u\)向\(p\)传播了一次信息,计算方法如下:
\]
比方说刚才的无向图例子中,如果选择\(b\)作为根节点,在collect message步计算\(m_{cb}(c)\) (或者表示成\(m_{dcb\text{ and }ecb}(c)\)) :
\]
Sum-product第二步:Distribute Message,现在还只是求出了一个方向的信息,即从叶子节点到根节点的信息,还需要一次遍历,这一次把信息从根节点向叶子节点更新。树结构中,每个节点只会有一个父亲节点,这个性质使得distribute比collect容易 (所以下面用下标\(\text{root}\to u\),和\(p\to u\)表示的是一个意思):
\]
再回到刚才的无向图例子中,如果选择\(a\)作为根节点,在distribute步计算\(m_{ac}(c)\):
\]
这两个步骤之后,需要计算任意一个随机变量的边缘概率都会很容易:
\]
Belief Propagation -- Max-product
最大边缘概率
假设随机变量集合\(X=\{x_1,...,x_n\}\),定义最大边缘概率为:
\]
显然,求出最大边缘概率后,再求一个最大值就可以算出最大联合概率:
\]
Max运算的分配律
在VE那部分提到一个重要的理论基础:乘法分配律。更准确地说,应该是乘法对加法的分配律 (multiplication distributes over addition).
实际上,当因子都是非负的时候 (概率图模型的因子分解刚好就是如此),乘法对max运算也有分配律。因此,要求最大边缘概率 (或者最大联合概率) 时,可以用max运算来做变量消去。
再次考虑Sum-product章节中的无向图模型,以下使用VE方法分别化简了边缘概率和最大边缘概率:
P(c) &= \sum_a\sum_b\sum_e\sum_d \phi(a,b)\phi(b,c)\phi(c,d)\phi(c,e)\\
&= \sum_b\phi(b,c)\sum_a\phi(a,b) \sum_d \phi(c,d) \sum_e \phi(c,e)\\
\end{aligned}
\]
P^*(c) &= \max_{a,b,d,e} P(a,b,c,d,e) \\
&= \max_{a,b,d,e} \phi(a,b)\phi(b,c)\phi(c,d)\phi(c,e) \\
&= \max_b \phi(b,c) \max_a\phi(a,b) \max_d \phi(c,d) \max_e \phi(c,e)
\end{aligned}
\]
两者形式完全一样, 求max运算也可以看作是一次信息传递过程。所以,很自然地想到把信赖传播方法扩展到求最大边缘概率上。
BP -- Max-product
只需要把Sum-product中的求和符号改成\(\max\)即可:
\]
- 如果问题只是要求\(\max P(x_1,...,x_n)\),则只需要Collect message一次遍历就够了,不需要再distribute.
- 如果要求\(X^* = \arg \max_{X} P(X)\),则只需要在每次传播信息的过程中,记录下每个\(\arg \max_u\)即可。
概率图模型&机器学习 -- 精确推断方法 -- 变量消去(Variable Elimination)和信念传播(Belief Propagation)的更多相关文章
- 机器学习 —— 概率图模型(Homework: MCMC)
除了精确推理之外,我们还有非精确推理的手段来对概率图单个变量的分布进行求解.在很多情况下,概率图无法简化成团树,或者简化成团树后单个团中随机变量数目较多,会导致团树标定的效率低下.以图像分割为例,如果 ...
- 机器学习&数据挖掘笔记_20(PGM练习四:图模型的精确推理)
前言: 这次实验完成的是图模型的精确推理.exact inference分为2种,求边缘概率和求MAP,分别对应sum-product和max-sum算法.这次实验涉及到的知识点很多,不仅需要熟悉图模 ...
- 机器学习 —— 概率图模型(Homework: Exact Inference)
在前三周的作业中,我构造了概率图模型并调用第三方的求解器对器进行了求解,最终获得了每个随机变量的分布(有向图),最大后验分布(双向图).本周作业的主要内容就是自行编写概率图模型的求解器.实际上,从根本 ...
- ANN:ML方法与概率图模型
一.ML方法分类: 产生式模型和判别式模型 假定输入x,类别标签y - 产生式模型(生成模型)估计联合概率P(x,y),因可以根据联合概率来生成样本:HMMs ...
- 机器学习 —— 概率图模型(Homework: Representation)
前两周的作业主要是关于Factor以及有向图的构造,但是概率图模型中还有一种更强大的武器——双向图(无向图.Markov Network).与有向图不同,双向图可以描述两个var之间相互作用以及联系. ...
- 机器学习 —— 概率图模型(Homework: StructuredCPD)
Week2的作业主要是关于概率图模型的构造,主要任务可以分为两个部分:1.构造CPD;2.构造Graph.对于有向图而言,在获得单个节点的CPD之后就可依据图对Combine CPD进行构造.在获得C ...
- 机器学习 —— 概率图模型(Homework: Factors)
Talk is cheap, I show you the code 第一章的作业主要是关于PGM的因子操作.实际上,因子是整个概率图的核心.对于有向图而言,因子对应的是CPD(条件分布):对无向图而 ...
- 机器学习 —— 概率图模型(Homework: CRF Learning)
概率图模型的作业越往后变得越来越有趣了.当然,难度也是指数级别的上涨啊,以至于我用了两个周末才完成秋名山神秘车牌的寻找,啊不,CRF模型的训练. 条件随机场是一种强大的PGM,其可以对各种特征进行建模 ...
- 机器学习 —— 概率图模型(学习:CRF与MRF)
在概率图模型中,有一类很重要的模型称为条件随机场.这种模型广泛的应用于标签—样本(特征)对应问题.与MRF不同,CRF计算的是“条件概率”.故其表达式与MRF在分母上是不一样的. 如图所示,CRF只对 ...
- 概率图模型(PGM):贝叶斯网(Bayesian network)初探
1. 从贝叶斯方法(思想)说起 - 我对世界的看法随世界变化而随时变化 用一句话概括贝叶斯方法创始人Thomas Bayes的观点就是:任何时候,我对世界总有一个主观的先验判断,但是这个判断会随着世界 ...
随机推荐
- RocketMQ 在小米的多场景灾备实践案例
本文作者:邓志文.王帆 01为什么要容灾? 在小米内部,我们使用 RocketMQ 来为各种在线业务提供消息队列服务,比如商城订单.短信通知甚至用来收集 IoT 设备的上报数据,可以说 RocketM ...
- java中如何将Object类型转换为int类型
如何将Object类型转换为int类型 Object object = null; try { Integer.parseInt(object.toString()); } catch (Number ...
- css动画(仿微信聊天页面)
微信聊天框以其简洁直观的界面和流畅的交互体验而广受欢迎.本文将展示如何利用HTML和CSS技术,在自己的网页上实现类似微信的聊天框效果.我们将一步步指导您完成,让网站或应用也能拥有专业且用户友好的聊天 ...
- 5道大厂的JAVA经典面试题
前言 本来想着给自己放松一下,刷刷博客,慕然回首,Java的四种引用,强弱软虚?泛型常用特点?Java创建对象有几种方式? 有没有可能两个不相等的对象有相同的hashcode?深拷贝和浅拷贝的区别是什 ...
- uniapp对接个推推送以及模拟器调试
uniapp 推送需要配置的内容https://ask.dcloud.net.cn/article/35622 推送流程 参考 https://blog.csdn.net/m0_67401660/ar ...
- ARC121D 1 or 2
ARC121D 1 or 2 诈骗题. 思路 吃一个糖的操作可以看做是和一个 \(a_i\) 为 0 的糖一起吃. 可以枚举有多少个糖单独吃来确定要增加多少个 0. 问题变为每次吃两颗糖. 根据人类直 ...
- nemu-wsl-环境配置
实在是不愿意用学校的虚拟平台,觉得在自己的电脑上留存一部分真的很有意思,也想捣鼓一下,于是在自己电脑上配置下最基本的环境,做下记录 准备好wsl 因为要求环境是 Ubuntu 18.04 和 gcc- ...
- dotnet学习笔记-专题03-RabbitMQ-01
专题03--RabbitMQ 1. RabbitMQ安装 服务端 使用如下sh脚本安装: #!/bin/sh sudo apt-get install curl gnupg apt-transport ...
- 导航管理工具之OneNav
github:https://github.com/helloxz/onenav 解决痛点:经常使用的链接,时常被问起, 还要翻找之前的很老的记录,反反复复比较浪费平常的开发时间, 如果可以把这些常用 ...
- Lambda【1】-- List相关Lambda表达式使用(上篇)
Lambda在jdk1.8里面已经很好用了,在这里不讲底层的实现,只有简单的用法,会继续补全. 首先一个list我们要使用lambda的话,需要使用它的stream()方法,获取流,才能使用后续的方法 ...