SciTech-Mathematics-Probability+Statistics- Pandas DataFrame Histogram/BarChart/Boxplot/Scatterplot + Relative Frequency Histogram: Definition + Example()
Links:
- How to Plot Multiple Series from a Pandas DataFrame
- How to Make a Scatterplot From a Pandas DataFrame
- Pandas: How to Plot Multiple Columns on Bar Chart
- How to Add a Title to Seaborn Plots (With Examples)
Histogram from Pandas DataFrame
BY ZACH BOBBITTPOSTED ON AUGUST 5, 2021
You can use the following basic syntax to create a histogram from a pandas DataFrame:
df.hist(column='col_name')
The following examples show how to use this syntax in practice.
import pandas as pd
#create DataFrame
df1 = pd.DataFrame({
'points': [25, 12, 15, 14, 19, 23, 25, 29, 29, 31, 31, 33],
'assists': [5, 7, 7, 9, 12, 9, 9, 4, 7, 7, 8, 9],
'rebounds': [11, 8, 10, 6, 6, 5, 9, 12, 10, 7, 7, 9]})
#view first five rows of DataFrame
df1.head()
points assists rebounds
0 25 5 11
1 12 7 8
2 15 7 10
3 14 9 6
4 19 12 6
#create histogram for 'points' column
df1.hist(column='points')
#customize the histogram with specific colors, styles, labels, and number of bins:
df1.hist(column='points', bins=5, grid=False, rwidth=.9, color='purple')
#create DataFrame
df2 = pd.DataFrame({
'team':['A', 'A', 'A', 'A', 'A', 'A',
'B', 'B', 'B', 'B', 'B', 'B'],
'points': [25, 12, 15, 14, 19, 23, 25, 29, 29, 31, 31, 33]})
#create histogram for each team
df2.hist(column='points', by='team', bins=3, grid=False, rwidth=.9,
color='purple', sharex=True)
| df1.hist(column='points') | df1.hist(column='points', bins=5,...) | df2.hist(column='points', by='team', bins=3,...) |
|---|---|---|
![]() |
![]() |
![]() |
The x-axis displays the points scored per player and the y-axis shows the frequency for the number of players who scored that many points.
Note that the sharex argument specifies that the two histograms should share the same x-axis.
This makes it easier to compare the distribution of values between the two histograms.
Additional Resources
The following tutorials explain how to create other common plots in Python:
How to Create Boxplot from Pandas DataFrame
How to Plot Multiple Pandas Columns on Bar Chart
Boxplot from Pandas DataFrame
BY ZACH BOBBITTPOSTED ON JULY 20, 2021
You can use the following syntax to create boxplots from a pandas DataFrame:
#create boxplot of one column
df.boxplot(column=['col1'])
#create boxplot of multiple columns
df.boxplot(column=['col1', 'col2'])
#create boxplot grouped by one column
df.boxplot(column=['col1'], by='col2')
The following examples show how to use this syntax in practice with the following DataFrame:
import pandas as pd
#create DataFrame
df = pd.DataFrame({'conference': ['A', 'A', 'A', 'B', 'B', 'B'],
'points': [5, 7, 7, 9, 12, 9],
'assists': [11, 8, 10, 6, 6, 5],
'rebounds': [4, 2, 5, 8, 6, 11],})
#view DataFrame
df
# Example 1: Boxplot of One Column
df.boxplot(column=['points'], grid=False, color='black')
#Example 2: Boxplot of Multiple Columns
df.boxplot(column=['points', 'assists'], grid=False, color='black')
#Example 3: Boxplot Grouped by One Column
df.boxplot(column=['points'], by='conference', grid=False, color='black')
| Example 1: df.boxplot(column=['points'], | Example 2: df.boxplot(column=['points', 'assists'], | Example 3: df.boxplot(column=['points'], by='conference', |
|---|---|---|
![]() |
![]() |
![]() |
BarChart from Pandas DataFrame
Multiple Columns
Pandas: How to Plot Multiple Columns on Bar Chart
BY ZACH BOBBITTPOSTED ON APRIL 8, 2021
You can use the following syntax to plot multiple columns of a pandas DataFrame on a single bar chart:
df[['x', 'var1', 'var2', 'var3']].plot(x='x', kind='bar')
The x column will be used as the x-axis variable and var1, var2, and var3 will be used as the y-axis variables.
The following examples show how to use this function in practice.
Plot Columns on a Bar Chart
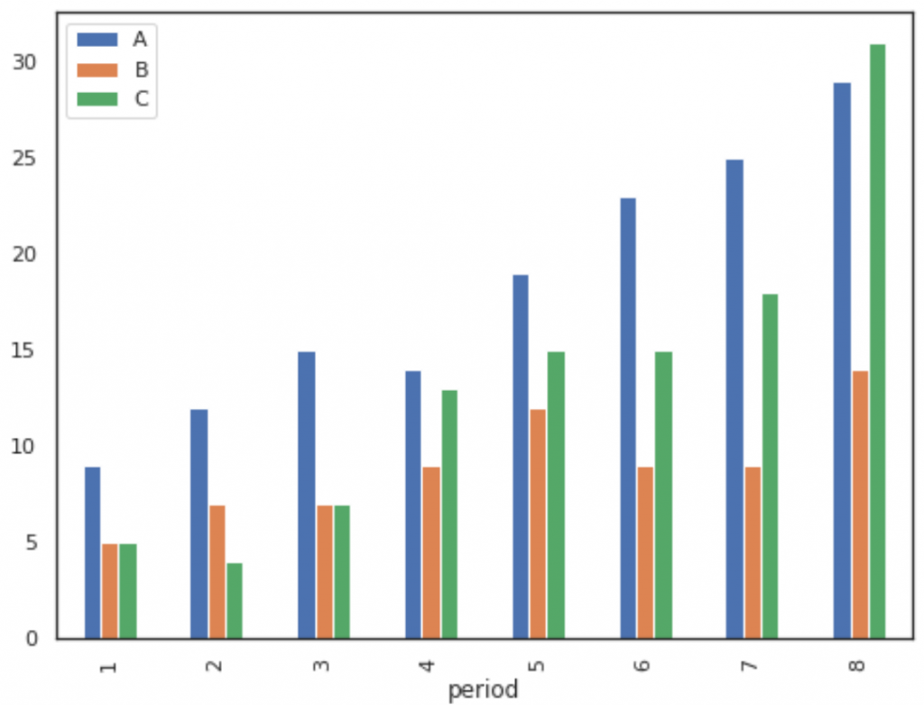
The following code shows how to plot three columns on a bar chart, specifying that the column named period should be used as the x-axis variable:
import pandas as pd
import matplotlib.pyplot as plt
#create fake data
df = pd.DataFrame({'period': [1, 2, 3, 4, 5, 6, 7, 8],
'A': [9, 12, 15, 14, 19, 23, 25, 29],
'B': [5, 7, 7, 9, 12, 9, 9, 14],
'C': [5, 4, 7, 13, 15, 15, 18, 31]})
#plot columns on bar chart
df[['period', 'A', 'B', 'C']].plot(x='period', kind='bar')
# We could also choose to plot only certain columns, such as A and B:
df[['period', 'A', 'B']].plot(x='period', kind='bar')
#create fake data
df = pd.DataFrame({'period': [1, 2, 3, 4, 5, 6, 7, 8],
'A': [9, 12, 15, 14, 19, 23, 25, 29],
'B': [5, 7, 7, 9, 12, 9, 9, 14],
'C': [5, 4, 7, 13, 15, 15, 18, 31]})
#create stacked bar chart
df[['period', 'A', 'B', 'C']].plot(x='period', kind='bar', stacked=True)
# To change the colors of the bars, simply use the color argument as follows:
df[['period', 'A', 'B', 'C']].plot(x='period', kind='bar', stacked=True,
color=['red', 'pink', 'gold'])
| Example 1: df[['period', 'A', 'B', 'C']].plot(x='period', kind='bar') | Example 2: df[['period', 'A', 'B', 'C']].plot(x='period', kind='bar', stacked=True) |
|---|---|
![]() |
|
![]() |
|
Relative Frequency Histogram: Definition + Example
BY ZACH BOBBITTPOSTED ON FEBRUARY 19, 2020
Often in statistics you will encounter tables that display information about frequencies.
Frequencies simply tell us how many times a certain event has occurred.
For example, the following table shows how many items a particular shop sold in a week based on the price of the item:
| Item Price(Unit: Dollar) | Frequency |
|---|---|
| 1 – 10 | 20 |
| 11 – 20 | 21 |
| 21 – 30 | 13 |
| 31 – 40 | 8 |
| 41 – 50 | 4 |
This type of table is known as a frequency table.
In one column we have the "class" and in the other column we have the frequency of the class.
Often we use frequency histograms to visualize the values in a frequency table,
since it's typically easier to gain an understanding of data when we can visualize the numbers.
A histogram lists the classes along the x-axis of a graph,
and uses bars to represent the frequency of each class along the y-axis.
The following frequency histogram provides a visual representation of the frequency table above:

Frequency histogram example
A close cousin of a frequency table is a relative frequency table, which simply lists the frequencies of each class as a percentage of the whole.
The following table shows the relative frequencies of the same dataset we saw earlier:
| Item Price(Unit: Dollar) | Frequency | Relative Frequency |
|---|---|---|
| 1 – 10 | 20 | 0.303 |
| 11 – 20 | 21 | 0.318 |
| 21 – 30 | 13 | 0.197 |
| 31 – 40 | 8 | 0.121 |
| 41 – 50 | 4 | 0.061 |
In total, there were 66 items sold. Thus, we found the relative frequency of each class by taking the frequency of each class and dividing by the total items sold.
For example, there were 20 items sold in the price range of $1 – $10. Thus, the relative frequency of the class $1 – $10 is 20 / 66 = 0.303.
Next, there were 21 items sold in the price range of $11 – $20. Thus, the relative frequency of the class $11 – $20 is 21 / 66 = 0.318.
We perform the same calculation for each class to get the relative frequencies.
Once we have the relative frequency of each class, we can then create a relative frequency histogram to visualize these relative frequencies.
Similar to a frequency histogram, this type of histogram displays the classes along the x-axis of the graph and uses bars to represent the relative frequencies of each class along the y-axis.
The only difference is the labels used on the y-axis. Instead of displaying raw frequencies, a relative frequency histogram displays percentages.
Example of a relative frequency histogram

When to Use a Relative Frequency Histogram
A frequency histogram can be useful when you're interested in raw data values.
For example, a shop might have a goal to sell at least 10 items each week in the $41 – $50 range.
By creating a frequency histogram of their data, they can easily see that they're not meeting their goal of selling 10 items per week in this price range:

Frequency histogram example
Conversely, a relative frequency histogram is useful when you're interested in percentage values.
For example, a shop might have a goal of selling 5% of their total items in the $41 – $50 price range.
By creating a relative frequency histogram of their data, they can see that they are meeting this goal:

Example of a relative frequency histogram
Note that a frequency histogram and a relative frequency histogram will both look the exact same. The only difference is the values displayed on the y-axis.
Additional Resources
The following tutorials explain how to create relative frequency histograms in different statistical software:
How to Create a Relative Frequency Histogram in Python
SciTech-Mathematics-Probability+Statistics- Pandas DataFrame Histogram/BarChart/Boxplot/Scatterplot + Relative Frequency Histogram: Definition + Example()的更多相关文章
- [20170603]12c Top Frequency histogram.txt
---恢复内容开始--- [20170603]12c Top Frequency histogram.txt --//个人对直方图了解很少,以前2种直方图类型对于目前的许多应用来讲已经足够,或者讲遇到 ...
- pandas.DataFrame学习系列1——定义及属性
定义: DataFrame是二维的.大小可变的.成分混合的.具有标签化坐标轴(行和列)的表数据结构.基于行和列标签进行计算.可以被看作是为序列对象(Series)提供的类似字典的一个容器,是panda ...
- pandas.DataFrame的pivot()和unstack()实现行转列
示例: 有如下表需要进行行转列: 代码如下: # -*- coding:utf-8 -*- import pandas as pd import MySQLdb from warnings impor ...
- pandas DataFrame apply()函数(1)
之前已经写过pandas DataFrame applymap()函数 还有pandas数组(pandas Series)-(5)apply方法自定义函数 pandas DataFrame 的 app ...
- pandas DataFrame apply()函数(2)
上一篇pandas DataFrame apply()函数(1)说了如何通过apply函数对DataFrame进行转换,得到一个新的DataFrame. 这篇介绍DataFrame apply()函数 ...
- 把pandas dataframe转为list方法
把pandas dataframe转为list方法 先用numpy的 array() 转为ndarray类型,再用tolist()函数转为list
- pandas DataFrame.shift()函数
pandas DataFrame.shift()函数可以把数据移动指定的位数 period参数指定移动的步幅,可以为正为负.axis指定移动的轴,1为行,0为列. eg: 有这样一个DataFrame ...
- pandas DataFrame applymap()函数
pandas DataFrame的 applymap() 函数可以对DataFrame里的每个值进行处理,然后返回一个新的DataFrame: import pandas as pd df = pd. ...
- pandas DataFrame(3)-轴
和numpy数组(5)-二维数组的轴一样,pandas DataFrame也有轴的概念,决定了方法是对行应用还是对列应用: 以下面这个数据为例说明: 这个数据是5个车站10天内的客流数据: rider ...
- pandas DataFrame(4)-向量化运算
pandas DataFrame进行向量化运算时,是根据行和列的索引值进行计算的,而不是行和列的位置: 1. 行和列索引一致: import pandas as pd df1 = pd.DataFra ...
随机推荐
- Burp插件Fiora联动nuclei(windows)
大佬写的插件出来好久了 今天朋友问我Fiora联动nuclei,我突然忘了咋配的的了.. 记录一下 一.下载nuclei https://github.com/projectdiscovery/nuc ...
- 【工具】F_Record|和画世界一样录制PS的画画过程的插件(亲测好用)
亲测日期:2024/04/11 亲测版本:PS 2024 首先, 作者自己制作的使用视频在这里:https://www.bilibili.com/video/BV1bm411Z762 作者的Githu ...
- VS2019 配置 protobuf3.8.0
1.下载protobuf3.8.0 https://github.com/protocolbuffers/protobuf/releases/tag/v3.8.0 2.准备工作 解压文件并在同级目录建 ...
- FastAPI与MongoDB分片集群:异步数据路由与聚合优化
title: FastAPI与MongoDB分片集群:异步数据路由与聚合优化 date: 2025/05/26 16:04:31 updated: 2025/05/26 16:04:31 author ...
- A2A Java 示例
克隆代码 git clone https://github.com/google-a2a/a2a-samples cd a2a-samples/samples/java 本项目是 Agent-to-A ...
- maixpy 常用例程整理
基础控制K210例程 1.1 使用屏幕和摄像头 例程 import sensor, lcd sensor.reset() sensor.set_pixformat(sensor.RGB565) sen ...
- 「Note」数据结构方向 - 可持久化数据结构
1. 可持久化线段树 1.1. 简介 可持久化线段树一般用于解决区间第 \(k\) 小值的询问. 首先考虑简化过的问题,区间 \(\left[1,r\right]\) 的第 \(k\) 小值. 考虑用 ...
- 不写一行代码 .NET 使用 FluentCMS 快速构建现代化内容管理系统(CMS)
前言 在当今数字化时代,内容管理系统(CMS)已成为企业和个人构建网站.博客.电子商务平台等数字应用不可或缺的工具.随着技术的不断发展,现代CMS不仅要求具备强大的内容管理功能,还需要具备高度的灵活性 ...
- RT-Thread 4.0.3 适配 UART_V2 版本
RT-Thread 4.0.3 适配 UART_V2 版本 本文为针对发布版4.0.3 进行 UART_V2 驱动的移植适配操作笔记. 由于使用了 libmodbus 软件包,需要 posix_ter ...
- Result Maps collection does not contain value for java.util.HashMap
前言 查询报错 Result Maps collection does not contain value for java.util.HashMap 原因 SQL XML中包含此返回类型 解决 第一 ...







