Robust Principal Component Analysis?(PCP)
引
这篇文章,讨论的是这样的一个问题:
\]
有这样的一个矩阵\(M \in \mathbb{R}^{n_1 \times n_2}\),它由一个低秩的矩阵\(L_0\)和稀疏矩阵\(S_0\)混合而成,那么,能否通过\(M\)将\(L_0\)和\(S_0\)分别重构出来?而且,最关键的是,也是这篇文章的亮点所在:对于\(L_0\)和\(S_0\)仅有一丢丢的微弱的假设。
一些微弱的假设:
关于\(L_0\):
低秩矩阵\(L_0\)不稀疏,这个假设很弱,但有意义。因为如果\(M=e_1e_1^*\)(文章采用\(*\)作为转置符号,这里沿用这种写法),即只有左上角第一个元素非零,那么这个矩阵如何分解为低秩和稀疏呢,因为压根没法区分。作者引入incoherence condition(不连贯条件?抱歉,不晓得如何翻译):
假设\(L_0\)的SVD分解为:
\]
其中\(r = \mathrm{rank}(L_0)\),\(\sigma_i\)为奇异值,并且,\(U = [u_1, \ldots, u_r]\),\(V = [v_1, \ldots, v_r]\)。
incoherence condition:

分析这些条件可以发现,\(U,V\)的每一行的模都不能太大,\(UV^*\)的每个元素同样不能太大,所以最后结果\(L_0\)的各个元素的大小会比较均匀,从而保证不稀疏?
关于\(S_0\):
类似地,需要假设\(S_0\)不低秩,论文另辟蹊径,假设\(S_0\)的基为\(m=\mathrm{Card}(S_0)\),其支撑(support)定义为:
\]
论文假设\(S_0\)的支撑\(\Omega\)从一个均匀分布采样。即,\(S_0\)不为零的项为\(m\),从\(n_1\times n_2\)个元素中挑选\(m\)个非零的组合有\(\mathrm{C}_{n_1 \times n_2}^m\),论文假设每一种组合被采样的概率都是相同的。事实上,关于\(S_0\)元素的符号,论文在后面说明,符号固定或者随机(服从伯努利分布),都能将\(L_0,S_0\)恢复出来。
问题的解决
论文反复强调,多么令人惊讶,多么不可思议,事实上的确如此,上述问题只需求解一个形式非常简单的凸优化问题:

其中\(\|L\|_* = \sum \limits_{i=1}^r \sigma_i(L)\)为其核范数。
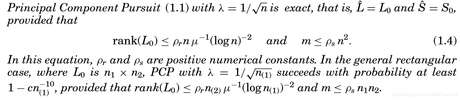
论文给出了以下结论:


即:令\(n_{(1)}= \max(n_1, n_2), n_{(2)} = \min (n_1, n_2)\),对于任意矩阵\(M = L_0 + S_0 \in \mathbb{R}^{n_1 \times n_2}\),只要\(L_0\)和\(S_0\)满足上面提到的假设,那么就存在常数\(c\)使得,PCP的解(即(1.1)的解,且\(\lambda= 1/ \sqrt{n_{(1)}}\))\(\hat{L}\)和\(\hat{S}\)有\(1-c n_{(1)}^{-10}\)的概率重构\(L_0\),\(S_0\),即\(\hat{L}=L_0\),\(\hat{S}=S_0\)。并且有下列性质被满足\(\mathrm{rank}(L_0) \le \rho_r n_{(2)} \mu^{-1} (\log n_{(1)})^{-2},m \le \rho_s n_1 n_2\)。
这个结果需要说明的几点是,常数\(c\)是根据\(S_0\)的支撑\(\Omega\)决定的(根据后面的理论,实际上是跟\(\|\mathcal{P}_{\Omega} \mathcal{P}_{T}\|\)有关),另外一点是,\(\lambda = 1 / \sqrt{n_{(1)}}\)。是的,论文给出了\(\lambda\)的选择(虽然这个选择不是唯一的),而且,这个值是通过理论分析得到的。
关于问题 (1.1)的求解有很多现成的算法,这篇论文大量篇幅用于证明上述的理论结果,只在最后提到利用ALM(Augmented Largrange multiplier)方法有很多优势,算法如下:

其中\(\mathcal{S}_{\tau}[x] = \mathrm{sgn} (x) \max (|x| - \tau, 0)\), \(\mathcal{D}_{\tau} (X)=U\mathcal{S}_{\tau}(\Sigma)V^*,X=U\Sigma V^*\)。
ALM算法实际上是交替最小化下式:

其中\(<A, B>:= \mathrm{Tr(A^TB)}\)。
固定\(L, Y\),实际上就是最小化:
\]
其在\(S\)处的导数(虽然有些点并不可导)为:
\]
实际上,对于每个\(S_{i,j}\),与其相关的为:
\]
关于最小化这个式子,我们可以得到:
-\frac{b+c}{2a} & -\frac{b+c}{2a} \ge 0 \\
-\frac{b-c}{2a} & -\frac{b-c}{2a} \le 0 \\
0 & else
\end{array} \right.
\]
实际上就是\(S_{i,j}= \mathcal{S}_{c/2a}(-b/2a)\),对\(S\)拆解,容易得到固定\(L,Y\)的条件下,\(S\)的最优解为:
\]
当\(S, Y\)固定的时候:
实际上就是最小化下式:
\]
观测其次梯度:
\]
其中\(L=U\Sigma V^*,U^*W=0,WV=0,\|W\| \le 1\),\(\|X\|\)为\(X\)的算子范数。
最小值点应当满足\(0\)为其次梯度,即:
\]
有解。
令\(A = M-S+\mu^{-1}Y\)
则:
\Rightarrow \Sigma=-\mu^{-1}I+U^*AV
\]
假设\(A=U_A\Sigma_A V_A^*\),那么:
\]
如果我们令\(U=U_A,V=V_A\),则:
\]
但是我们知道,\(\Sigma\)的对角元素必须大于等于0,所以我可以这样构造解:
假设\(\Sigma_A\)的对角元素,即奇异值降序排列\(\sigma_1(A) \ge \sigma_2(A) \ldots \sigma_k(A) \ge \mu^{-1} > \sigma_{k+1}(A) \ge \ldots \ge \sigma_r(A)\),相对于的向量为\(u_1(A),\ldots,u_r(A)\)和\(v_1{A},\ldots, v_r(A)\)。我们令
W = \sum \limits_{i=k+1}^{r} \mu \sigma_i(A)u_i(A)v_i^T(A)
\]
容易验证\(U^*W=0,WV=0\),又\(\mu^{-1} > \sigma_i(A), i > k\),所以\(\mu \sigma_i(A) < 1\),所以\(\|W\| \le 1\)也满足。同样的,次梯度为0的等式也满足,所以\(L\)就是我们要找到点(因为这个是凸函数,极值点就是最小值点)。
理论
这里只介绍一下论文的证明思路。
符号:

去随机
论文先证明,如果\(S_0\)的符号是随机的(伯努利分布),在这种情况能恢复,那么\(S_0\)的符号即便不随机也能恢复。

Dual Certificates(对偶保证?)
引理2.4
引理2.4告诉我们,只要我们能找到一对\((W, F)\),满足\(UV^*+W=\lambda(sgn(S_0)+F)\)。\((L_0,S_0)\)是优化问题(1.1)的唯一解。但是不够,因为这个条件太强了,\(W, F\)的构造是困难的。

引理2.5
进一步改进,有了引理2.5。

引理2.5的意义在哪呢?它意味着,我们只要找到一个\(W\),满足:

那么,\((L_0,S_0)\)就是问题\((1.1)\)的最优解,而且是唯一的。
Golfing Scheme
接下来,作者介绍一种机制来构造\(W\),并且证明这种证明能够大概率保证\(W\)能够满足上述的对偶条件。作者将\(W = W^L + W^S\)分解成俩部分,俩部分用不同的方式构造:

接下的引理和推论,总结起来便是最后的证明:




通过引理2.8和2.9,再利用范数的三角不等式,容易验证\(W = W^L+W^S\)满足对偶条件。
最后提一下,定理的概率体现在哪里,在对偶条件的引理中,有这么一个假设\(\|\mathcal{P}_{\Omega}\mathcal{P}_T\| \le 1\)和\(\|\mathcal{P}_{\Omega}\mathcal{P}_T\| \le 1/2\),这些条件并不一定成立,根据\(\Omega\)的采样,成立的大概率的。
数值实验
按照论文里,普通的人工生成矩阵,实验下来和论文的无异。也的确,\(S_0\)的规模大小(每个元素的大小)对能否恢复几乎没有影响,有影响的是\(S_0\)的稀疏度。实验下来,稀疏度越高(0基越小),恢复的越好,而且差距蛮大的。
我们的实验,\(L = XY\),其中\(X,Y \in \mathbb{R}^{500 \times 25}\)依标准正态分布生成的,\(S_0\)是每个元素有\(\rho\)的概率为\(100\),\(\rho\)的概率为\(-1\),\(1-2\rho\)的概率为0。\(\rho\)我们选了\(1/10, 1/15, \ldots, 1/55\)。
下面的图,红色表示\(\|\hat{L}-L_0\|_F/\|L_0\|_F\),蓝色表示\(\|\hat{S}-S_0\|_F/\|S_0\|_F\)。因为每种情况我只做了一次实验,所以结果有起伏,但是趋势是在的。

比较有意思的是图片的拆解,我在马路上拍了31张照片,按照论文的解释,通过将照片拉成向量,再混合成一个矩阵\(M\),然后通过优化问题解出\(\hat{L}\)和\(\hat{S}\),那么\(\hat{L}\)的行向量(我做实验的时候是将一个照片作为一个行向量,论文里的是列向量)重新展成图片应该是类似背景的东西,而\(\hat{S}\)中对应的行向量应该是原先图片中会动的东西。
照片我进行了压缩(\(416 \times 233\))和灰度处理,处理\(M\)用了1412次迭代,时间大概15分钟?比我预想的快多了。
我挑选其中比较混乱的图(就是车比较多的):
第一组:
M:

L:

S:

第二组:
M:

L:

S:

第三组:
M:

L:

S:

比较遗憾的是,\(\hat{S}\)中都出现了面包车,我以为面包车会没有的,结果还是出现了。
代码
"""
Robust Principal Component Analysis?
"""
import numpy as np
class RobustPCA:
def __init__(self, M, delta=1e-7):
self.__M = np.array(M, dtype=float)
self.__n1, self.__n2 = M.shape
self.S = np.zeros((self.__n1, self.__n2), dtype=float)
self.Y = np.zeros((self.__n1, self.__n2), dtype=float)
self.L = np.zeros((self.__n1, self.__n2), dtype=float)
self.mu = self.__n1 * self.__n2 / (4 * self.norm_l1)
self.lam = 1 / np.sqrt(max(self.__n1, self.__n2))
self.delta = delta
@property
def norm_l1(self):
"""返回M的l1范数"""
return np.sum(np.abs(self.__M))
@property
def stoprule(self):
"""停止准则"""
A = (self.__M - self.L - self.S) ** 2
sum_A = np.sqrt(np.sum(A))
bound = np.sqrt(np.sum(self.__M ** 2))
if sum_A <= self.delta * bound:
return True
else:
return False
def squeeze(self, A, c):
"""压缩"""
if c <= 0:
return A
B1 = np.where(np.abs(A) < c)
B2 = np.where(A >= c)
B3 = np.where(A <= -c)
A[B1] = [0.] * len(B1[0])
A[B2] = A[B2] - c
A[B3] = A[B3] + c
return A
def newsvd(self, A):
def sqrt(l):
newl = []
for i in range(len(l)):
if l[i] > 0:
newl.append(np.sqrt(l[i]))
else:
break
return np.array(newl)
m, n = A.shape
if m < n:
C = A @ A.T
l, u = np.linalg.eig(C)
s = sqrt(l)
length = len(s)
u = u[:, :length]
D_inverse = np.diag(1 / s)
vh = D_inverse @ u.T @ A
return u, s, vh
else:
C = A.T @ A
l, v = np.linalg.eig(C)
s = sqrt(l)
length = len(s)
v = v[:, :length]
D_inverse = np.diag(1 / s)
u = A @ v @ D_inverse
return u, s, v.T
def update_L(self):
"""更新L"""
A = self.__M - self.S + self.Y / self.mu
u, s, vh = np.linalg.svd(A) #or self.newsvd(A)
s = self.squeeze(s, 1 / self.mu)
s = s[np.where(s > 0)]
length = len(s)
if length is 0:
self.L = np.zeros((self.__n1, self.__n2), dtype=float)
elif length is 1:
self.L = np.outer(u[:, 0] * s[0], vh[0])
else:
self.L = u[:, :length] * s @ vh[:length]
def update_S(self):
"""更新S"""
A = self.__M - self.L + self.Y / self.mu
self.S = self.squeeze(A, self.lam / self.mu)
def update_Y(self):
"""更新Y"""
A = self.__M - self.L - self.S
self.Y = self.Y + self.mu * A
def process(self):
count = 0
while not (self.stoprule):
count += 1
assert count < 10000, "something wrong..."
self.update_L()
self.update_S()
self.update_Y()
print(count)
注意到,我自己写了一个newsvd的方法,这是因为,在处理图片的时候,用numpy的np.linalg.svd会报memoryerror,所以就自己简单调整了一下。
Robust Principal Component Analysis?(PCP)的更多相关文章
- 吴恩达机器学习笔记49-主成分分析问题(Principal Component Analysis Problem Formulation)
主成分分析(PCA)是最常见的降维算法. 在PCA 中,我们要做的是找到一个方向向量(Vector direction),当我们把所有的数据都投射到该向量上时,我们希望投射平均均方误差能尽可能地小.方 ...
- Sparse Principal Component Analysis via Rotation and Truncation
目录 对以往一些SPCA算法复杂度的总结 Notation 论文概述 原始问题 问题的变种 算法 固定\(X\),计算\(R\) 固定\(R\),求解\(X\) (\(Z =VR^{\mathrm{T ...
- PCA(Principal Component Analysis)主成分分析
PCA的数学原理(非常值得阅读)!!!! PCA(Principal Component Analysis)是一种常用的数据分析方法.PCA通过线性变换将原始数据变换为一组各维度线性无关的表示,可 ...
- (4)主成分分析Principal Component Analysis——PCA
主成分分析Principal Component Analysis 降维除了便于计算,另一个作用就是便于可视化. 主成分分析-->降维--> 方差:描述样本整体分布的疏密,方差越大-> ...
- 从矩阵(matrix)角度讨论PCA(Principal Component Analysis 主成分分析)、SVD(Singular Value Decomposition 奇异值分解)相关原理
0. 引言 本文主要的目的在于讨论PAC降维和SVD特征提取原理,围绕这一主题,在文章的开头从涉及的相关矩阵原理切入,逐步深入讨论,希望能够学习这一领域问题的读者朋友有帮助. 这里推荐Mit的Gilb ...
- 《principal component analysis based cataract grading and classification》学习笔记
Abstract A cataract is lens opacification caused by protein denaturation which leads to a decrease i ...
- Probabilistic Principal Component Analysis
目录 引 主要内容 EM算法求解 附录 极大似然估计 代码 Tipping M E, Bishop C M. Probabilistic Principal Component Analysis[J] ...
- Principal Component Analysis(PCA) algorithm summary
Principal Component Analysis(PCA) algorithm summary mean normalization(ensure every feature has sero ...
- Principal Component Analysis(PCA)
Principal Component Analysis(PCA) 概念 去中心化(零均值化): 将输入的特征减去特征的均值, 相当于特征进行了平移, \[x_j - \bar x_j\] 归一化(标 ...
随机推荐
- select 如何在选中后获取选中的时是什么元素 ,(原生js)
在日常开发中,我们经常遇到选择框的业务处理:如何去获取我们所选中的数据呢? 很多小伙伴还不是很熟悉! <!DOCTYPE html> <html lang="en" ...
- k.tt 研究下生成的逻辑代码:从壹开始前后端分离 [.netCore 填坑 ] 三十二║ 四种方法快速实现项目的半自动化搭建
更新 1.更新小伙伴 @大龄Giser 提出好点子:试试VS的插件扩展:VSIX.ItemProject等,将T4模板给制作插件,这里先记下,有懂的小伙伴可以自己先试试,我会在以后更新. 2.感谢小伙 ...
- .NET Core TDD 前传: 编写易于测试的代码 -- 全局状态
第1篇: 讲述了如何创造"缝". "缝"(seam)是需要知道的概念. 第2篇, 避免在构建对象时写出不易测试的代码. 第3篇, 依赖项和迪米特法则. 本文是 ...
- 远程window服务器,无法复制粘贴了
1.先检查本机 2.检查服务器 win+R打开输入taskmgr 找到这个进程,结束进程 3.在win+r打开输入rdpclip确认启动,发现可以复制粘贴了.
- Python命令行参数解析模块argparse
当写一个Python脚本时经常会遇到不同参数不同功能的情况,如何做一个更好看的命令帮助信息以及对命令参数解析呢? 这就需要使用argparse模块 #!/usr/bin/env python # -* ...
- Python编程从入门到实践笔记——if语句
Python编程从入门到实践笔记——if语句 #coding=utf-8 cars=['bwm','audi','toyota','subaru','maserati'] bicycles = [&q ...
- MySQL 笔记整理(18) --为什么这些SQL语句逻辑相同,性能却差异巨大?
笔记记录自林晓斌(丁奇)老师的<MySQL实战45讲> (本篇内图片均来自丁奇老师的讲解,如有侵权,请联系我删除) 18) --为什么这些SQL语句逻辑相同,性能却差异巨大? 本篇我们以三 ...
- 18-09-20,String 与 StringBuilder (StringBuffer)
1.其一 在运行速度方面:StringBuilder > StringBuffer > String 上实例 class Program { static void Main(string ...
- 高并发系统保护~ing
由于公司业务发展,需要考虑一些高并发系统保护的问题,整理记录一下. 当发现你的系统出现访问卡顿,服务器各种性能指标接近100%(如果一个初创型企业系统正常运行情况下出现这个问题,那么应该恭喜你,你懂得 ...
- js将一个数组分成多个数组
1,将数组array分成长度为subGroupLength的小数组并返回新数组 function group(array, subGroupLength) { let index = 0; let n ...