Lasso回归模型,是常用线性回归的模型,当模型维度较高时,Lasso算法通过求解稀疏解对模型进行变量选择。Lars算法则提供了一种快速求解该模型的方法。Lars算法的基本原理有许多其他文章可以参考,这里不过多赘述, 这里主要简介如何在R中利用lars算法包求解线性回归问题以及参数的选择方法。

以下的的一些用法参照lars包的帮助文件,再加上自己的使用心得。所用的示例数据diabetes是Efron在其论文中“Least Angle Regression”中用到的,可以在加载lars包后直接获得

  1. library(lars)
  2. data(diabetes)
  3. attach(diabetes)

该数据中含有三个变量x,x2,y, 其中x是一个有422X10维的矩阵,y是一422维个向量 ,x2是由x得到的 422X64维矩阵(compressive).

1. 求解路径solution path

lars(x, y, type = c("lasso", "lar", "forward.stagewise", "stepwise"), trace = FALSE, normalize = TRUE, intercept = TRUE, Gram, eps = .Machine$double.eps, max.steps, use.Gram = TRUE)

该函数提供了通过回归变量x和因变量y求解其回归解路径的功能。其中,

type ---- 表示所使用的回归方法,包括(lasso, lar, forward.stagewise, stepwise),选择不同的回归方法将得到不同的解路径;

normalize ---- 表示是否对变量进行归一化,当为TRUE时,程序将对x和y进行L2正则化;

intercept ---- 表示是否对变量进行中心化,当为TRUE时,程序将对x和y分别减去其均值。

下面使用四种不同的回归方法对其进行回归分析

  1. object1 <- lars(x,y,type="lasso")
  2. object2 <- lars(x,y,type="lar")
  3. object3 <- lars(x,y,type="forward.stagewise")
  4. object4 <- lars(x,y,type="stepwise")

返回参数是一个list,其中包含了每次迭代得到的回归系数beta以及lambda等16个返回值。

可以分别对返回参数用plot( )画出其solution path的图像.

可以看到lars算法,算法的步数较少即迭代次数较少,且与参数个数相同,当数据维数非常高的时候lars算法相较于其他回归算法速度非常快。

2. 利用交叉验证(Cross Validtion)确认参数

在上一步我们可以看到lars一次给了其solution path上的所有解,我们需要确定其中哪个解是我们真正要用到的. 在lasso模型中,约束项由参数lambda进行控制,当给定了lambda,模型才能够确定下来。一个好的回归模型,需要给定一个合适的lambda,但是lamda的范围往往比较大。注意到www.255055.cn/ lars算法给出的解路径上的解个数是有限的,不同的解即不同的beta就对应了不同的lambda, 从solution path的图可以看到, 我们可以通过选定算法的step步数或者选定beta饱和度|beta|/max|beta|(此处| |表示一范数,饱和度同样也表征了解的稀疏度)来选定模型的参数.

此时就需要用到lars包中的cv.lars函数,

cv.lars(x, y, K = 10, index, trace = FALSE, plot.it = TRUE, se = TRUE,type = c("lasso", "lar", "forward.stagewise", "stepwise"), mode=c("fraction", "step"), ...)

K ----- 表示在进行交叉验证时,将数据随机分为K份,每次使用其中K-1份作为训练数据,用剩下的一份进行验证,最后计算这K次验证的均方误差;

mode ----- 表示用到的参数指标, step即按步数step去选择所需的参数,fraction即按照path中的横坐标|beta|/max|beta|去选择所需变量,fraction默认为0:100:1即 index=seq(from=0,to=1,length=100).

其他的type等参数与lars()中的意义相同,下面我们以type="lar"时为例,以x2为自变量,演示确定回归参数的方法.

首先为方便描述,我们先单独画出使用该方法得到的solution path

然后利用lars.cv来确定其参数,首先使用的index为mode="www.huayi1.cn/ step"

  1. data(diabetes)
  2. attach(diabetes)
  3. cvsol1<-cv.lars(x2,y,type="lar",mode="step")
  4. detach(diabetes)

得到交叉验证的均方误差MSE分析结果图如下,

我可以看到由交叉验证得到的最优回归系数(使得均方误差MSE最小)是稀疏的,然后用以下语句得出最优解对应地的step步数为15,

 > cvsol1$index[which.min(www.yibaoyule1.com/ cvsol1$cv)]
[1] 15

相应地,第15步对应的的回归系数以及其饱和度|bata|/max|beta|为

得到的回归系数beta的稀疏度为14与真实稀疏度相近, 此处计算其饱和度是为了接下来与用饱和度为 index确定回归系数做对比。

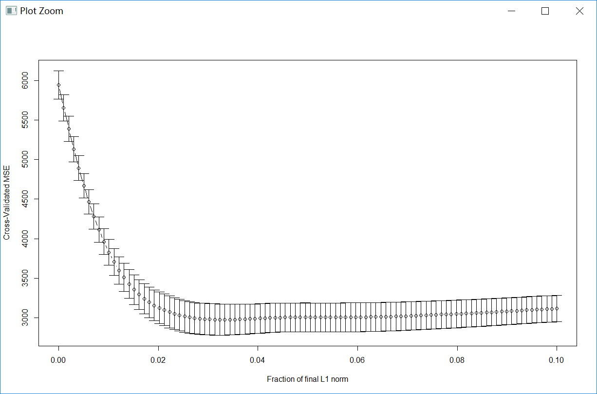
接下来我们用饱和度作为inedx来确定最优, 此处我们已知最优的饱和度大致在0和0.1之间,为便于对比,这里设置饱和度的区间为0:100:0.1

  1. data(diabetes)
  2. attach(diabetes)
  3. cvsol2<-cv.lars(x2,y,type="lar",mode="fraction",
  4. index=seq(from=0,to=0.1,length=100) )
  5. detach(diabetes)

得到的均方误差MSE分析图为

然后同样是提取其中使得均方误差最小的饱和度,得到的结果为0.03232323

最小角回归 LARS算法包的用法以及模型参数的选择(R语言 )的更多相关文章

  1. 从最小角回归(LARS)中学到的一个小知识(很短)

    [转载请注明出处]http://www.cnblogs.com/mashiqi (居然有朋友说内容不接地气,那么我就再加一段嘛,请喜欢读笑话的同学直接看第二段)假设这里有一组向量$\left\{ x_ ...

  2. Lasso回归算法: 坐标轴下降法与最小角回归法小结

    前面的文章对线性回归做了一个小结,文章在这: 线性回归原理小结.里面对线程回归的正则化也做了一个初步的介绍.提到了线程回归的L2正则化-Ridge回归,以及线程回归的L1正则化-Lasso回归.但是对 ...

  3. 机器学习方法:回归(三):最小角回归Least Angle Regression(LARS),forward stagewise selection

    欢迎转载,转载请注明:本文出自Bin的专栏blog.csdn.net/xbinworld. 希望与志同道合的朋友一起交流,我刚刚设立了了一个技术交流QQ群:433250724,欢迎对算法.技术.应用感 ...

  4. A-06 最小角回归法

    目录 最小角回归法 一.举例 二.最小角回归法优缺点 2.1 优点 2.2 缺点 三.小结 更新.更全的<机器学习>的更新网站,更有python.go.数据结构与算法.爬虫.人工智能教学等 ...

  5. LARS 最小角回归算法简介

    最近开始看Elements of Statistical Learning, 今天的内容是线性模型(第三章..这本书东西非常多,不知道何年何月才能读完了),主要是在看变量选择.感觉变量选择这一块领域非 ...

  6. R+tmcn笔记︱tmcn包的基本内容以及李舰老师R语言大会展示内容摘录

    每每以为攀得众山小,可.每每又切实来到起点,大牛们,缓缓脚步来俺笔记葩分享一下吧,please~ --------------------------- tmcn包目前托管在在R-forge 上开发和 ...

  7. R语言中常用包(二)

    数据导入 以下R包主要用于数据导入和保存数据 feather:一种快速,轻量级的文件格式.在R和python上都可使用readr:实现表格数据的快速导入.中文介绍可参考这里readxl:读取Micro ...

  8. r语言 包说明

    [在实际工作中,每个数据科学项目各不相同,但基本都遵循一定的通用流程.具体如下]   [下面列出每个步骤最有用的一些R包] 1.数据导入以下R包主要用于数据导入和保存数据:feather:一种快速,轻 ...

  9. R语言扩展包dplyr——数据清洗和整理

    R语言扩展包dplyr——数据清洗和整理 标签: 数据R语言数据清洗数据整理 2015-01-22 18:04 7357人阅读 评论(0) 收藏 举报  分类: R Programming(11)  ...

随机推荐

  1. HI-2110的657sp3版本应用笔记之TUP

    1. TUP是什么? TUP是华为的搞的一套封装了标准Coap的函数,底层是Coap,上层是华为封装的一层收发函数,用来简化Coap的收发流程,最终只用6个函数搞定,不用懂Coap就可以的. 2. T ...

  2. Android性能优化来龙去脉总结

    WeTest 导读 一款app除了要有令人惊叹的功能和令人发指交互之外,在性能上也应该追求丝滑的要求,这样才能更好地提高用户体验. 以下是本人在工作中对经历过的性能优化的一些总结,依据故事的发展路线, ...

  3. 程序员的冷笑话 python版本

    在伯乐在线上看到了个冷笑话,感觉很有意思. void tellStory() { printf("从前有座山\n"); printf("山上有座庙\n"); p ...

  4. 2019年猪年海报PSD模板-第二部分

    14套精美猪年海报,免费猪年海报,下载地址:百度网盘,https://pan.baidu.com/s/1sH0U5oU-LQlaxnaWxPCrrg              

  5. Ubuntu主题美化篇

    主题美化篇 Ubuntu自带的主题简直不敢恭维,这里博主将它美化了一番,心情瞬间都好了一大截,码代码也会飞起!!先放一张我美化后的效果. 桌面和终端效果如下: unity-tweak-tool 调整 ...

  6. HTML <head>里面的标签

    <head> 中的标签可以引用脚本.指示浏览器在哪里找到样式表.提供元信息等等. 下面这些标签可用在 head 部分:<base>, <link>, <met ...

  7. 【转】cocos2dx3.2学习笔记之Director(导演类)

    转载:https://blog.csdn.net/u013435551/article/details/38579747 在Cocos2d-x中,把统筹游戏大局的类抽象为导演类(Director),D ...

  8. win 下通过dos命令格式化磁盘

    该命令可以解决好多问题,比如: 1.u盘作为启动后,如何恢复成正常的u盘 1.win + r ->cmd 进入dos模式 2.输入diskpart后回车,点击确定,进入diskpart命令的交互 ...

  9. django启动创建用户失败

    a django应用启动 b 访问127.0.0.1:8000,报错信息如下,原因为没有这个用户需要创建下用户 c 创建用户过程中报错原因是因为添加了app需要告诉django,这个 模型发生了改变, ...

  10. 剑指offer-二叉树中和为某一值的路径24

    题目描述 输入一颗二叉树的跟节点和一个整数,打印出二叉树中结点值的和为输入整数的所有路径.路径定义为从树的根结点开始往下一直到叶结点所经过的结点形成一条路径.(注意: 在返回值的list中,数组长度大 ...