激光SLAM Vs 视觉SLAM
博客转载自:https://www.leiphone.com/news/201707/ETupJVkOYdNkuLpz.html
雷锋网(公众号:雷锋网)按:本文作者SLAMTEC(思岚科技公号slamtec-sh)技术顾问,专注SLAM及相关传感器研发应用。
SLAM(同步定位与地图构建),是指运动物体根据传感器的信息,一边计算自身位置,一边构建环境地图的过程,解决机器人等在未知环境下运动时的定位与地图构建问题。目前,SLAM的主要应用于机器人、无人机、无人驾驶、AR、VR等领域。其用途包括传感器自身的定位,以及后续的路径规划、运动性能、场景理解。
由于传感器种类和安装方式的不同,SLAM的实现方式和难度会有一定的差异。按传感器来分,SLAM主要分为激光SLAM和VSLAM两大类。其中,激光SLAM比vSLAM起步早,在理论、技术和产品落地上都相对成熟。基于视觉的SLAM方案目前主要有两种实现路径,一种是基于RGBD的深度摄像机,比如Kinect;还有一种就是基于单目、双目或者鱼眼摄像头的。VSLAM目前尚处于进一步研发和应用场景拓展、产品逐渐落地阶段。
激光SLAM:早在2005年的时候,激光SLAM就已经被研究的比较透彻,框架也已初步确定。激光SLAM,是目前最稳定、最主流的定位导航方法。

激光SLAM地图构建
VSLAM(基于视觉的定位与建图):随着计算机视觉的迅速发展,视觉SLAM因为信息量大,适用范围广等优点受到广泛关注。
(1)基于深度摄像机的Vslam,跟激光SLAM类似,通过收集到的点云数据,能直接计算障碍物距离;
(2)基于单目、鱼眼相机的VSLAM方案,利用多帧图像来估计自身的位姿变化,再通过累计位姿变化来计算距离物体的距离,并进行定位与地图构建;

图片来源:百度AI一直以来,不管是产业界还是学术界,对激光SLAM和VSLAM到底谁更胜一筹,谁是未来的主流趋势这一问题,都有自己的看法和见解。下面就简单从几个方面对比了一下激光SLAM和VSLAM。
成本
不管是Sick,北洋,还是Velodyne,价格从几万到几十万不等,成本相对来说比较高,但目前国内也有低成本激光雷达(RPLIDAR)解决方案。VSLAM主要是通过摄像头来采集数据信息,跟激光雷达一对比,摄像头的成本显然要低很多。但激光雷达能更高精度的测出障碍点的角度和距离,方便定位导航。
应用场景
从应用场景来说,VSLAM的应用场景要丰富很多。VSLAM在室内外环境下均能开展工作,但是对光的依赖程度高,在暗处或者一些无纹理区域是无法进行工作的。而激光SLAM目前主要被应用在室内,用来进行地图构建和导航工作。
地图精度
激光SLAM在构建地图的时候,精度较高,思岚科技的RPLIDAR系列构建的地图精度可达到2cm左右;VSLAM,比如常见的,大家也用的非常多的深度摄像机Kinect,(测距范围在3-12m之间),地图构建精度约3cm;所以激光SLAM构建的地图精度一般来说比VSLAM高,且能直接用于定位导航。
易用性
激光SLAM和基于深度相机的VSLAM均是通过直接获取环境中的点云数据,根据生成的点云数据,测算哪里有障碍物以及障碍物的距离。但是基于单目、双目、鱼眼摄像机的VSLAM方案,则不能直接获得环境中的点云,而是形成灰色或彩色图像,需要通过不断移动自身的位置,通过提取、匹配特征点,利用三角测距的方法测算出障碍物的距离。
安装方式
雷达最先开始应用于军事行业,后来逐渐民用。被大家广泛知晓最先应该是从谷歌的无人车上所知道的。当时Velodyne雷达体积、重量都较大,应用到一些实际场景中显然不适合。比如无人机、AR、VR这种,本身体积就很小,再搭载大体积的激光雷达的话,根本无法使用,也影响美感和性能。所以VSLAM的出现,利用摄像头测距,弥补了激光雷达的这一缺点,安装方式可以随着场景的不同实现多元化。

其他
除了上面几点之外,在探测范围、运算强度、实时数据生成、地图累计误差等方面,激光SLAM和视觉SLAM也会存在一定的差距。

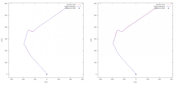
数据来源:KITTI
可以明显看出,对于同一个场景,VSLAM在后半程中出现了偏差,这是因为累积误差所引起的,所以VSLAM要进行回环检验

激光SLAM是目前比较成熟的定位导航方案,视觉SLAM是未来研究的一个主流方向。所以,未来,多传感器的融合是一种必然的趋势。取长补短,优势结合,为市场打造出真正好用的、易用的SLAM方案。
本文转自雷锋网,如需转载请至雷锋网官网申请授权。
激光SLAM Vs 视觉SLAM的更多相关文章
- 激光SLAM与视觉SLAM的特点
激光SLAM与视觉SLAM的特点 目前,SLAM技术被广泛运用于机器人.无人机.无人驾驶.AR.VR等领域,依靠传感器可实现机器的自主定位.建图.路径规划等功能.由于传感器不同,SLAM的实现方式也有 ...
- 高翔《视觉SLAM十四讲》从理论到实践
目录 第1讲 前言:本书讲什么:如何使用本书: 第2讲 初始SLAM:引子-小萝卜的例子:经典视觉SLAM框架:SLAM问题的数学表述:实践-编程基础: 第3讲 三维空间刚体运动 旋转矩阵:实践-Ei ...
- Comparison of Laser SLAM and Visual SLAM
Comparison of Laser SLAM and Visual SLAM 目前,SLAM技术广泛应用于机器人.无人机.无人机.AR.VR等领域,依靠传感器可以实现机器的自主定位.测绘.路径规划 ...
- 主流视觉SLAM、激光SLAM总结
SLAM预备知识 SLAM for Dummies 全文总结 视觉里程计 卡尔曼滤波推导 MonoSLAM MonoSLAM:Real-Time Single Camera SLAM全文总结 PTAM ...
- 视觉slam学习之路(一)看高翔十四讲所遇到的问题
目前实验室做机器人,主要分三个方向,定位导航,建图,图像识别,之前做的也是做了下Qt上位机,后面又弄红外识别,因为这学期上课也没怎么花时间在项目,然后导师让我们确定一个方向来,便于以后发论文什么. ...
- 如何从零开始系统化学习视觉SLAM?
由于显示格式问题,建议阅读原文:如何从零开始系统化学习视觉SLAM? 什么是SLAM? SLAM是 Simultaneous Localization And Mapping的 英文首字母组合,一般翻 ...
- 视觉SLAM关键方法总结
点"计算机视觉life"关注,置顶更快接收消息! 最近在做基于激光信息的机器人行人跟踪发现如果单独利用激光信息很难完成机器人对行人的识别.跟踪等功能,因此考虑与视觉融合的方法,这样 ...
- 83 项开源视觉 SLAM 方案够你用了吗?
作者:吴艳敏 来源:83 项开源视觉 SLAM 方案够你用了吗? 前言 1. 本文由知乎作者小吴同学同步发布于https://zhuanlan.zhihu.com/p/115599978/并持续更新. ...
- (转) SLAM系统的研究点介绍 与 Kinect视觉SLAM技术介绍
首页 视界智尚 算法技术 每日技术 来打我呀 注册 SLAM系统的研究点介绍 本文主要谈谈SLAM中的各个研究点,为研究生们(应该是博客的多数读者吧)作一个提纲挈领的摘要.然后,我 ...
随机推荐
- 条款52:谢了placement new 也就同时应该写一个placement delete
如果operator new接收到的参数除了size_t之外还有其他的话,那么这个operator new实际上就是一个placement new,所以考虑下下面这样的情况: 一个可以用来记录信息的p ...
- java学习笔记 --- 网络编程(网络的基础知识)
1.网络模型: |--OSI(open stystem Interconnection开放式系统互连) |--特点: 是一种异构系统互连的分层结构:提供了控制互连系统交互规则的标准骨架:定义一种抽象结 ...
- SVN的安装和使用
1.安装 下载SVN,一直默认安装 安装成功后,配置环境变量path=C:\Program Files\TortoiseSVN\bin 验证SVN安装是否成功:adb -help 或 adb -ver ...
- WordPress 中文图片 上传 自动重命名
由于国人很少有在上传图片前将图片名重命名为英语的,所以自动重命名对于WP来说尤为重要,特别是LINUX的不支持中文名的. WordPress上传多媒体的代码都存放于\wp-admin\includes ...
- 笔记:加 ly 不一定是副词
笔记:加 ly 不一定是副词 加 ly 变副词,但有些单词以 ly 结尾,长得像副词,却是形容词. costly = cost + ly a costly item. 一件昂贵的物品. lovely ...
- Python 修改ha配置文件
任务要求: 1.用户输入字符串 {"backend": "test.oldboy.org","record":{"server&q ...
- GWT实现“跟随标题栏”
在一些商城或者博客上,随处可见一些“跟随的标题栏”,什么是”跟随的标题栏“呢?它的效果是当浏览器窗口移到看不见某处内容的时候,这块内容的标题会紧贴在浏览器顶部,跟随浏览器滑动,当用户将浏览器内容往上拖 ...
- java中I/O类
总结:输入流/输出流 方法,变量: package com.aini; //流类.输入输出流 import java.io.*; public class rtyeew {// (File file) ...
- 2018年长沙理工大学第十三届程序设计竞赛 J杯子
链接:https://www.nowcoder.com/acm/contest/96/J来源:牛客网 杯子 时间限制:C/C++ 1秒,其他语言2秒 空间限制:C/C++ 32768K,其他语言655 ...
- Eclipse中Next Difference的快捷键
原文:http://stackoverflow.com/questions/10177460/is-there-a-key-binding-for-next-difference-and-previo ...