常用损失函数 LossFunction
文章结构
- 损失函数在神经网络中的位置
- 常用的损失函数(结构:解释,公式,缺点,适用于,pytorch 函数)
- MAE/L1 Loss
- MSE/L2 Loss
- Huber Loss
- 对信息量、熵的解释
- relative entropy 相对熵/ Kullback-Leibler KL Loss
- Cross Entropy Loss 交叉熵(包含对softmax 层的解释)
- 相对熵、熵、和交叉熵的关系
- Hinge Loss
损失函数在神经网络中的位置
forward → loss → backward
常用的损失函数



信息量
由香农引入,可以理解为对事件X发生概率的估计。一件事越经常发生,就越容易预测,它所包含的信息量就越小。
公式:

其中,
表示信息量,
表示事件X中的一个种类,
表示该种类的概率分布。
取对数
是为了方便计算,接下来都用简写
代替。
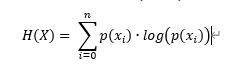
熵
每个种类的发生概率与信息量的乘积和,表示一个系统不确定性或混乱程度。
对于系统的不确定性可以理解为,由概率分布计算得到的信息量越大,表示越不容易预测,同时意味着并不遵循一定的规律,越混乱/不确定。
公式:

其中 ,
表示熵,求和上标
表示事件X的种类/分类的个数(举例,掷硬币这一事件的种类有正、反2种),
表示第i种类的概率分布。
relative entropy 相对熵/ Kullback-Leibler KL Loss
、
为 事件X 中取值的两个概率分布,
对
的相对熵(≥ 0 ):

公式引用自:http://t.csdnimg.cn/hRb5X
这里的两个概率分布可以是(由标签/target 计算得到的)真实概率
和模型预测概率
。
在pytorch 官方文档中 KLDivLoss — PyTorch 2.3 documentation 解释为

pytorch 函数:

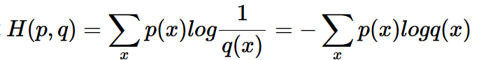
Cross Entropy Loss 交叉熵
公式:

表示 真实概率
和预测概率
的差距。
公式引用自详解机器学习中的熵、条件熵、相对熵和交叉熵 - 遍地胡说 - 博客园 (cnblogs.com)
其中,
在实际运用中,由 softmax 层 计算得到 。
Softmax 层输出的是每个分类的概率分布,将数字转化为概率。

在pytorch 官方文档中,其中
是一个1D 的张量,为每个类别分配权重,C 为事件的分类总数,相当于上文中的n。
为softmax的输出。

适用于:分类;样本分布不平衡的训练集
pytorch 函数:

其中,官方文档解释,input不需要normalize。

常用损失函数 LossFunction的更多相关文章
- 【深度学习】一文读懂机器学习常用损失函数(Loss Function)
最近太忙已经好久没有写博客了,今天整理分享一篇关于损失函数的文章吧,以前对损失函数的理解不够深入,没有真正理解每个损失函数的特点以及应用范围,如果文中有任何错误,请各位朋友指教,谢谢~ 损失函数(lo ...
- pytorch常用损失函数
损失函数的基本用法: criterion = LossCriterion() #构造函数有自己的参数 loss = criterion(x, y) #调用标准时也有参数 得到的loss结果已经对min ...
- 损失函数 hinge loss vs softmax loss
1. 损失函数 损失函数(Loss function)是用来估量你模型的预测值 f(x) 与真实值 Y 的不一致程度,它是一个非负实值函数,通常用 L(Y,f(x)) 来表示. 损失函数越小,模型的鲁 ...
- [AI]神经网络章3 损失函数
损失函数 作用 在有监督的学习中,需要衡量神经网络输出和所预期的输出之间的差异大小.这种误差函数需要能够反映出当前网络输出和实际结果之间一种量化之后的不一致程度,也就是说函数值越大,反映出模型预测的结 ...
- 机器学习中的损失函数 (着重比较:hinge loss vs softmax loss)
https://blog.csdn.net/u010976453/article/details/78488279 1. 损失函数 损失函数(Loss function)是用来估量你模型的预测值 f( ...
- 对于分类问题的神经网络最后一层的函数:sigmoid、softmax与损失函数
对于分类问题的神经网络最后一层的函数做如下知识点总结: sigmoid和softmax一般用作神经网络的最后一层做分类函数(备注:sigmoid也用作中间层做激活函数): 对于类别数量大于2的分类问题 ...
- [ch03-00] 损失函数
系列博客,原文在笔者所维护的github上:https://aka.ms/beginnerAI, 点击star加星不要吝啬,星越多笔者越努力. 第3章 损失函数 3.0 损失函数概论 3.0.1 概念 ...
- [PyTorch 学习笔记] 4.2 损失函数
本章代码: https://github.com/zhangxiann/PyTorch_Practice/blob/master/lesson4/loss_function_1.py https:// ...
- Tensorflow 2.0 深度学习实战 —— 详细介绍损失函数、优化器、激活函数、多层感知机的实现原理
前言 AI 人工智能包含了机器学习与深度学习,在前几篇文章曾经介绍过机器学习的基础知识,包括了监督学习和无监督学习,有兴趣的朋友可以阅读< Python 机器学习实战 >.而深度学习开始只 ...
- 深度学习常见的优化方法(Optimizer)总结:Adam,SGD,Momentum,AdaGard等
机器学习的常见优化方法在最近的学习中经常遇到,但是还是不够精通.将自己的学习记录下来,以备不时之需 基础知识: 机器学习几乎所有的算法都要利用损失函数 lossfunction 来检验算法模型的优劣, ...
随机推荐
- trim-all-strings-elements-in-a-complex-object
package com.xxx.common.util; import lombok.extern.slf4j.Slf4j; import org.apache.commons.lang3.Strin ...
- python_Django---基础
1.创建app 终端:python3.x manage.py startapp app(名字) 2.路由创建 urls.py: 导入函数:from app(app名) import views 创建 ...
- Qt/C++开发经验小技巧281-285
悬停窗体QDockWidget默认在标题栏右键会弹出悬停模块的显示隐藏菜单,如果需要去掉,会发现设置Qt::NoContextMenu或者事件过滤器拦截都是无效的,必须设置 dockWidget-&g ...
- Qt编写地图综合应用17-地址经纬度互转
一.前言 地址和经纬度互相转换的功能也经常用到,比如上次的路线方案查询的功能,之前官网是提供了直接输入出发地点和目的地的中文汉字,就可以查询到最优的路线,后面只支持输入出发地点和目的地的经纬度坐标了, ...
- Type of the default value for 'data' prop must be a function的解决方法
Type of the default value for 'data' prop must be a function的解决方法 问题现象 在写形如prop: {type: Array; defau ...
- 百度统一socket长连接组件从0到1的技术实践
本文由百度消息中台团队分享,引用自百度Geek说,原题"百度iOS端长连接组件建设及应用实践",为了帮助理解,本文有修订和改动. 1.引言 在过去的十年里,移动端互联网技术飞速发展 ...
- 即时通讯安全篇(十一):IM聊天系统安全手段之传输内容端到端加密技术
本文由融云技术团队分享,原题"互联网通信安全之端到端加密技术",内容有较多修订和改动. 1.引言 在上篇<IM聊天系统安全手段之通信连接层加密技术>中,分享了关于通信连 ...
- RAG实践 - AI 知识库问答功能的建设
最近在工作中构建了一套自动的基于文档中心为数据集构建知识库 AI 问答的系统,来提升用户体验和技术支持效率,分享一下在实现过程中的技术选型和架构设计. 背景 先说下背景,我们公司的产品 FinClip ...
- Final Review - 返回天空的雨滴
目录 Motivations Tricks Conclusions Algorithms And - \[\text{Each moment, now night.} \newcommand{\vct ...
- x86平台SIMD编程入门(4):整型指令
1.算术指令 算术类型 函数示例 加 _mm_add_epi32._mm256_sub_epi16 减 _mm_sub_epi32._mm256_sub_epi16 乘 _mm_mul_epi32._ ...