第十一章 中级绘图

本节用到的函数有:

plot

legend

corrgram

mosaic

11.2折线图

如果将散点图上的点从左往右连接起来,那么就会得到一个折线图。

创建散点图和折线图:

> opar<-par(no.readonly=TRUE)
> par(mfrow=c(1,2))
> t1<-subset(Orange,Tree==1)
> plot(t1$age,t1$circumference,xlab="Age(days)",ylab="circumference (mm)",main="orange tree 1growth")
> plot(t1$age,t1$circumference,xlab="Age(days)",ylab="circumference (mm)",main="orange tree 1growth",type="b")
> par(opar)

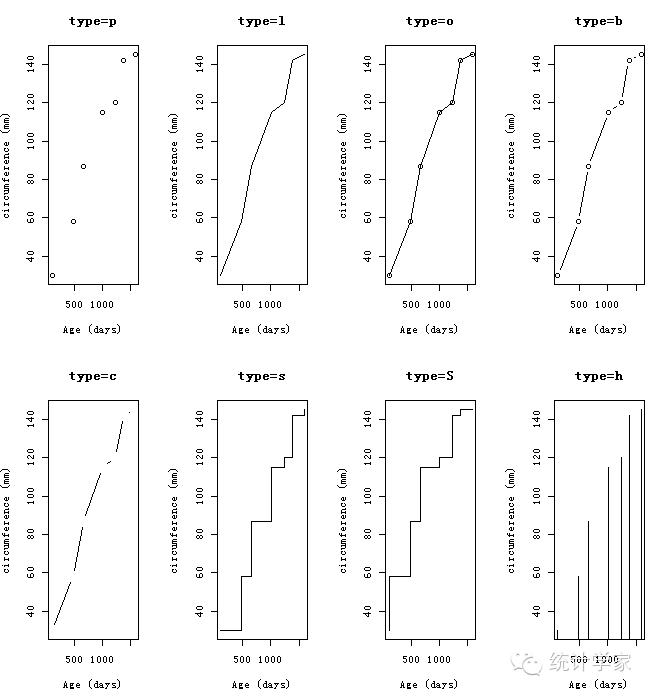
参数type =的可选值

p

只有点

l

只有线

o

实心点和线(即线覆盖在点上)

b、c

线连接点(c时不绘制点)

s、S

阶梯线

h

直方图式的垂直线

n

不生成任何点和线(通常用来为后面的命令创建坐标轴)

注意,plot()和lines()函数工作原理并不相同。plot()函数是被调用时即创建一幅新图,

而lines()函数则是在已存在的图形上添加信息,并不能自己生成图形。因此,lines()函数通常是在plot()函数生成一幅图形后再被调用。如果对图形有要求,可以先通过plot()函数中的type = n来创建坐标轴、标题和其他图形特征,然后再使用lines()函数添加各种需要绘制的曲线。

展示五种橘树随时间推移的生长状况的折线图:

> opar<-par(no.readonly=TRUE)
> par(mfrow=c(2,4))
> t1<-subset(Orange,Tree==1)
> plot(t1$age,t1$circumference,xlab="Age(days)",ylab="circumference(mm)",main="type=p",type="p")
> plot(t1$age,t1$circumference,xlab="Age(days)",ylab="circumference(mm)",main="type=l",type="l")
> plot(t1$age,t1$circumference,xlab="Age(days)",ylab="circumference(mm)",main="type=o",type="o")
> plot(t1$age,t1$circumference,xlab="Age(days)",ylab="circumference(mm)",main="type=b",type="b")
> plot(t1$age,t1$circumference,xlab="Age(days)",ylab="circumference(mm)",main="type=c",type="c")
> plot(t1$age,t1$circumference,xlab="Age(days)",ylab="circumference(mm)",main="type=s",type="s")
> plot(t1$age,t1$circumference,xlab="Age(days)",ylab="circumference(mm)",main="type=S",type="S")
> plot(t1$age,t1$circumference,xlab="Age(days)",ylab="circumference(mm)",main="type=h",type="h")

  

展示五种橘树随时间推移的生长状况的折线图

> Orange$Tree<-as.numeric(Orange$Tree)
> ntrees<-max(Orange$Tree)
> xrange<-range(Orange$age)
> yrange<-range(Orange$circumference)
> plot(xrange,yrange,type="n",xlab="age(days)",ylab="circumference(mm)" )
> colors<-rainbow(ntrees)
> linetype<-c(1:ntrees)
> plotchar<-seq(18,18+ntrees,1)
> for(i in 1:ntrees){tree<-subset(Orange,Tree==i), lines(tree$age,tree$circumference, type="b", lwd=2, lty=linetype[i],col=colors[i], pch=plotchar[i] ) }
> title("tree growth","example of lineplot")
> legend(xrange[1],yrange[2], 1:ntrees, cex=.8, pch=plotchar, lty=linetype, title="tree")

  

11.3 相关图

利用corrgram包中的corrgram()函数,可以以图形方式展示该相关系数矩阵

> library(corrgram)
> corrgram(mtcars,order=TRUE,lower.panel=panel.shade,upper.panel=panel.pie,text.panel=panel.txt, main="correlogram of mtcarsintercorrelations")

默认地,蓝色和从左下指向右上的斜杠表示单元格中的两个变量呈正相关。反过来,红色和从左上指向右下的斜杠表示变量呈负相关。色彩越深,饱和度越高,说明变量相关性越大。相关性接近于0的单元格基本无色。本图为了将有相似相关模式的变量聚集在一起,对矩阵的行和列都重新进行了排序(使用主成分法)。从图中含阴影的单元格中可以看到,gear、am、drat和mpg相互间呈正相关,wt、disp、hp和carb相互间也呈正相关。但第一组变量与第二组变量呈负相关。还可以看到carb和am、vs和gear、vs和am以及drat和qsec四组变量间的相关性很弱。上三角单元格用饼图展示了相同的信息。颜色的功能同上,但相关性大小由被填充的饼图块的大小来展示。正相关性将从12点钟处开始顺时针填充饼图,而负相关性则逆时针方向填充饼图。

corrgram()函数的格式如下:

corrgram(x, type=NULL, order = FALSE, labels,panel=panel.shade,
lower.panel=panel,upper.panel=panel,diag.panel=NULL,text.panel=textPanel,label.pos=c(0.5, 0.5), label.srt=0, cex.labels=NULL,font.labels=1,row1attop=TRUE, dir="",gap=0,abs=FALSE,col.regions=colorRampPalette(c("red","salmon","white","royalblue","navy")),cor.method="pearson", ...)

可以通过选项lower.panel 和upper.panel来分别设置主对角线下方和上方的元素类型。而text.panel和diag.panel选项控制着主对角线元素类型。

在下三角区域使用平滑拟合曲线和置信椭圆,上三角区域使用散点图:

> library(corrgram)
> corrgram(mtcars,order=TRUE,lower.panel=panel.ellipse,upper.panel=panelNaNs,text.panel=panel.txt,lwd=1.5,diag.panel=panel.minmax,main="correlogram of mtcars using\nscatter plots and ellipse")

mtcars数据框中变量的相关系数图。下三角区域包含平滑拟合曲线和置信椭圆,上三角区域包含散点图。主对角面板包含变量最小和最大值。矩阵的行和列利用主成分分析法进行了重排序

> library(corrgram)
> corrgram(mtcars,lower.panel=panel.shade,upper.panel=NULL,text.panel=panel.txt, lwd=1.5, main="Car mileage data(unsorted)")

下三角区域使用了阴影,并保持原变量顺序不变,上三角区域留白。下三角区域的阴影代表相关系数的大小和正负。变量按初始顺序排列.

11.4 马赛克图

若只观察单个类别型变量,可以使用柱状图或者饼图;若存在两个类别型变量,可以使用三维柱状图;若有两个以上的类别型变量,一种办法是绘制马赛克图(mosaic plot)。在马赛克图中,嵌套矩形面积正比于单元格频率,其中该频率即多维列联表中的频率。颜色和/或阴影可表示拟合模型的残差值。vcd包中的mosaic()函数可以绘制马赛克图

> ftable(Titanic)
Survived No Yes
Class Sex Age
1st Male Child 0 5
Adult 118 57
FemaleChild 0 1
Adult 4 140
2nd Male Child 0 11
Adult 154 14
FemaleChild 0 13
Adult 13 80
3rd Male Child 35 13
Adult 387 75
FemaleChild 17 14
Adult 89 76
Crew Male Child 0 0
Adult 670 192
FemaleChild 0 0
Adult 3 20

mosaic()函数可按如下方式调用

mosaic(table)

其中table是数组形式的列联表。另外,也可用:

> library(vcd)
> mosaic(Titanic,shade=TRUE,legend=TRUE)

> library(vcd)
> mosaic(~Class+Sex+Age+Survived,data=Titanic,shade=TRUE,legend=TRUE)

按船舱等级、乘客性别和年龄层绘制的泰坦尼克号幸存者的马赛克图

R in action读书笔记(15)第十一章 中级绘图 之二 折线图 相关图 马赛克图的更多相关文章

  1. R in action读书笔记(14)第十一章 中级绘图 之一:散点图(高能预警)

    第十一章中级绘图 本章内容: 二元变量和多元变量关系的可视化 绘制散点图和折线图 理解相关图 学习马赛克图和关联图 本章用到的函数有: plot hexbin ablines iplot scatte ...

  2. R in action读书笔记(22)第十六章 高级图形进阶(下)

    16.2.4 图形参数 在lattice图形中,lattice函数默认的图形参数包含在一个很大的列表对象中,你可通过trellis.par.get()函数来获取,并用trellis.par.set() ...

  3. 《Android群英传》读书笔记 (5) 第十一章 搭建云端服务器 + 第十二章 Android 5.X新特性详解 + 第十三章 Android实例提高

    第十一章 搭建云端服务器 该章主要介绍了移动后端服务的概念以及Bmob的使用,比较简单,所以略过不总结. 第十三章 Android实例提高 该章主要介绍了拼图游戏和2048的小项目实例,主要是代码,所 ...

  4. 《深入理解java虚拟机》读书笔记十——第十一章

    第十一章  晚期(运行期)优化 1.HotSpot虚拟机内的即时编译 解释器与编译器: 许多Java虚拟机的执行引擎在执行Java代码的时候都有解释执行(通过解释器执行)和编译执行(通过即时编译器产生 ...

  5. Android群英传》读书笔记 (3) 第六章 Android绘图机制与处理技巧 + 第七章 Android动画机制与使用技巧

    第六章 Android绘图机制与处理技巧 1.屏幕尺寸信息屏幕大小:屏幕对角线长度,单位“寸”:分辨率:手机屏幕像素点个数,例如720x1280分辨率:PPI(Pixels Per Inch):即DP ...

  6. R in action读书笔记(20)第十五章 处理缺失数据的高级方法

    处理缺失数据的高级方法 15.1 处理缺失值的步骤 一个完整的处理方法通常包含以下几个步骤: (1) 识别缺失数据: (2) 检查导致数据缺失的原因: (3) 删除包含缺失值的实例或用合理的数值代替( ...

  7. R in action读书笔记(12)第九章 方差分析

    第九章方差分析 9.2 ANOVA 模型拟合 9.2.1 aov()函数 aov(formula, data = NULL, projections =FALSE, qr = TRUE, contra ...

  8. R in action读书笔记(5)-第七章:基本统计分析

    7.1描述性统计分析 > vars<-c("mpg","hp","wt") > head(mtcars[vars])    ...

  9. R in action读书笔记(21)第十六章 高级图形进阶(上)

    16.1 R 中的四种图形系统 基础图形函数可自动调用,而grid和lattice函数的调用必须要加载相应的包(如library(lattice)).要调用ggplot2函数需下载并安装该包(inst ...

随机推荐

  1. /etc/profile与/etc/bashrc、交互式与非交互式、login与non-login shell的差别

    线上的memcached又挂了.仍然没有得到core文件. 排查原因,同事发现启动memcached的脚本存在可疑问题. 问题一:没有设置memcached工作文件夹,有可能core dump时没有工 ...

  2. flask的CBV,flash,Flask-Session,及WTForms-MoudelForm

    1,CBV: from flask import vews class LoginView(views.MethodView): def get(self): return "雪雪其实也很好 ...

  3. how to create modals with Bootstrap

    In this tutorial you will learn how to create modals with Bootstrap. Creating Modals with Bootstrap ...

  4. XMU 1606 nc与滴水问题 【模拟】

    1606: nc与滴水问题 Time Limit: 1000 MS  Memory Limit: 64 MBSubmit: 85  Solved: 27[Submit][Status][Web Boa ...

  5. UVA10600 ACM Contest and Blackout —— 次小生成树

    题目链接:https://vjudge.net/problem/UVA-10600 In order to prepare the “The First National ACM School Con ...

  6. vmware中鼠标在部分区域不能使用

    https://blog.csdn.net/dreamengsoul/article/details/80439278 方法1:重装VMware tools; 方法2:使用增强型键盘鼠标: 方法3:检 ...

  7. mysql字符集设置utf-8

    mysql字符集设置utf-8 mysql修改环境的默认字符集为utf-8(当然你也可以设置成别的,国际点还是utf-8好) 如果不把mysql字符集统一下,后面还是有点麻烦的 首先得在服务里关掉my ...

  8. AutoIT: 学习对GUI Sample上所有的资源进行操作

    $handle= WinGetHandle("Sample GUI") ;,"SRE Example 3 Result", $handle) $ctrl= Co ...

  9. python的thread和threading区别

    python提供了多种模块用来支持多线程编程, thread(在python3中改名为_thread),threading,和 queue模块. 通过加入queue模块,用户可以创建多个线程共享数据的 ...

  10. bzoj 4711 小奇挖矿 —— 树形DP

    题目:https://www.lydsy.com/JudgeOnline/problem.php?id=4711 就是树形DP,然而也想了半天才把转移想清楚: f[x][j][0] 表示 x 去上面 ...