【dfs基础讲解及例题】
定义
DFS(Depth-First-Search)深度优先搜索算法,是搜索算法的一种。
接下来因为懒得去找大段大段深奥的材料 所以就是一些个人的理解。
所谓深搜,是相对于广搜(只是第一篇)来说的。深搜根据名字都知道,我们是将搜索的深度放在首位,而不是别的(比如广度)。
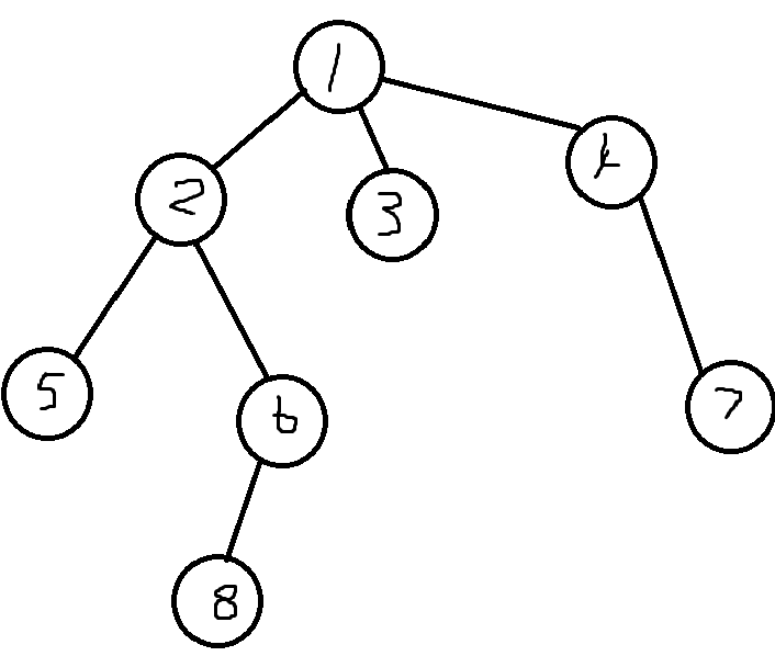
什么意思呢?还是同样一个图给大家理解一下。

像这样一个无向图中:
按照广搜的思想,搜索顺序为:
1→2→3→4→5→6→7→8(按照层数依次往下)
按照深搜的思想,搜索顺序为:
1→2→5→6→8→3→4→7(一个分支搜完再继续)
根据这个过程,我们很容易就可以得到:
在深度优先搜索中,对于最新发现的顶点,如果它还有以此为起点而未探测到的边,就沿此边继续搜下去。当结点v的所有边都己被探寻过(被打标记),搜索将回溯到发现结点v有那条边的始结点。这一过程一直进行到已发现从源结点可达的所有结点为止。如果还存在未被发现的结点,则选择其中一个作为源结点并重复以上过程,整个进程反复进行直到所有结点都被发现为止。
dfs代码相对来说很短,这里我就直接贴上来,当做一个模板理解一下。。
#include<bits/stdc++.h>
using namespace std;
int n;
bool G[100+1][20000+1];
bool visited[100+1];
void dfs(int i)
{
visited[i]=true;
cout<<i<<" ";
for (int j=1;j<=n;j++)
if (G[i][j]==1&&!visited[j])
dfs(j);
}
int main()
{
int v,a,b,c;
cin>>v>>n;
for(int i=1;i<=n;i++)
{
cin>>a>>b;
G[a][b]=1;
G[b][a]=1;
}
for (int i=1;i<=n;i++)
if (!visited[i]) dfs(i);
return 0;
}
【深搜(DFS)-例题-踏青】-C++
【DFS练习】-翻棋子-C++
持续更新…
【dfs基础讲解及例题】的更多相关文章
- Verilog语法基础讲解之参数化设计
Verilog语法基础讲解之参数化设计 在Verilog语法中,可以实现参数化设计.所谓参数化设计,就是在一个功能模块中,对于一个常量,其值在不同的应用场合需要设置为不同的置,则将此值在设计时使用 ...
- 原生AJAX基础讲解及兼容处理
原文:原生AJAX基础讲解及兼容处理 AJAX = Asynchronous JavaScript and XML (异步的JavaScript和XML). AJAX不是新技术 ,但却是热门的技术.它 ...
- JavaScript继承基础讲解,原型链、借用构造函数、混合模式、原型式继承、寄生式继承、寄生组合式继承
说好的讲解JavaScript继承,可是迟迟到现在讲解.废话不多说,直接进入正题. 既然你想了解继承,证明你对JavaScript面向对象已经有一定的了解,如还有什么不理解的可以参考<面向对象J ...
- Android学习笔记-Adapter基础讲解
本节引言 从本节开始我们要讲的UI控件都是跟Adapter(适配器)打交道的,了解并学会使用这个Adapter很重要, Adapter是用来帮助填充数据的中间桥梁,简单点说就是:将各种数据以合适的形式 ...
- 第二十四节:Java语言基础-讲解数组的综合应用
数组的综合应用 // 打印数组 public static void printArray(int[] arr) { for(int x=0;x<arr.length;x++) { if(x!= ...
- 小D课堂 - 新版本微服务springcloud+Docker教程_2_02 微服务核心基础讲解
笔记 2.微服务核心基础讲解 简介:讲解微服务核心知识 :网关.服务发现注册.配置中心.链路追踪.负载均衡器.熔断 1.网关:路由转发 + 过滤器 ...
- Hive基础讲解
一.Hive背景介绍 Hive最初是Facebook为了满足对海量社交网络数据的管理和机器学习的需求而产生和发展的.马云在退休的时候说互联网现在进入了大数据时代,大数据是现在互联网的趋势,而had ...
- - > 动规讲解基础讲解一——01背包(模板)
作为动态规划的基础,01背包的思想在许多动规问题中会经常出现,so,熟练的掌握01背包的思路是极其重要的: 有n件物品,第i件物品(I = 1,2,3…n)的价值是vi, 重量是wi,我们有一个能承重 ...
- 【DFS的分支限界】(例题-算式等式)
不知道DFS的请滚去 这里瞅一眼再说. -分支限界- 基本概念: 类似于回溯法,也是一种在问题的解空间树T上搜索问题解的算法.但在一般情况下,分支限界法与回溯法的求解目标不同.回溯法的求解目标是找出T ...
随机推荐
- qmake.exe是在Qt安装编译时生成的,里面内嵌了Qt相关的一些路径(最简单的方法是保持一样的安装路径,最方便的办法是设置qt.conf文件)
在网上直接下载别人编译好的Qt库,为自己使用省了不少事.但往往也会遇到些问题,其中Qt version is not properly installed,please run make instal ...
- .NET MVC 在action中,过滤器中,或视图中,如何分别获取 当前请求的 控制器/视图/区域 的名字
1)过滤器中的: public class CMSAttribute : FilterAttribute, IAuthorizationFilter { public void OnAuthoriza ...
- 微信小程序把玩(十八)picker组件
原文:微信小程序把玩(十八)picker组件 picker选择器分为三种,普通选择器,时间选择器, 日期选择器 用mode属性区分,默认是普通选择器.测试时时间和日期点击无反应不知道是BUG还是啥!没 ...
- 利用NPOI生成DOCX文档
首先安装NPOI控件: Install-Package NPOI 代码: using NPOI.OpenXmlFormats.Wordprocessing; using NPOI.XWPF.UserM ...
- fastjson 出现首字母小写的问题
今天工作使用fastjson要求传过去的参数全为大写,在使用的过程中发现它自动将我的字段首字母转为小写了,在网上查了一些资料,发现下面的这个挺好,比其他的要方便. package com.alibab ...
- [转]Android 如何有效的解决内存泄漏的问题
Android 如何有效的解决内存泄漏的问题 前言:最近在研究Handler的知识,其中涉及到一个问题,如何避免Handler带来的内存溢出问题.在网上找了很多资料,有很多都是互相抄的,没有实际的 ...
- [迟到的万圣节向]可怕的python
什么?python简单易懂好学可读性高灵活耐用扩展好? 预测下面几个小段落的输出,来看看这个能过几关? ============================ Stage 1 预测下列输出 def ...
- spring通过注解方式依赖注入原理 (私有成员属性如何注入)
一.spring如何创建依赖的对象 用过spring的都知道我们在dao.service层加上@repository.@Service就能将这两个对象交给spring管理,在下次使用的时候使用@res ...
- 使用Gson封装和解析JSON
案例:判断用户名是否存在 在jsp页面使用ajax $("#username").change(function(){ var username = $(this).val(); ...
- Prometheus 与 Grafana 集成
简介 Grafana 是一个可视化仪表盘,它拥有美观的图标和布局展示,功能齐全的仪表盘和图形编辑器,默认支持 CloudWatch.Graphite.Elasticsearch.InfluxDB.My ...