講講 John Carmack 的快速反平方根演算法

 原地址http://213style.blogspot.com/2014/07/john-carmack.html
本篇的主題很簡單,講講怎麼快速計算 反平方根
 
圖1. 反平方根函數,但是要如何快速計算此式呢?
 

反平方根運算在 3D 圖形領域占有重要地位,主要用於計算 光源 與 反射,運算過程中

需要計算 Normalized Vector,這時就需要進行反平方根運算,因為在 1990 年以前可沒有
特殊的硬體可以直接處理 T&L,直到有名的 GeForce 256 出現才改觀,而 3D 遊戲內某些
可以貫穿多個敵人的武器,也需要用到反平方根運算,所以該運算不只出現在與繪圖有關
的部分,一些與圖形無關的演算法也會用到,所以大部分 3D 遊戲中,都還是會存在獨立的
反平方根函式。在數值計算領域裡,反平方根計算可以間接取得平方根的值,例如在 8051
這類只能運算整數的微處理器,要計算平方根就會用到反平方根運,因為 反平方根運 存在
快速演算法,其中最有名的就是在 Quake III 裡面的 Q_rsqrt 函式,這個函式非常有名,大不
分的 反平方根運算 都是直接把這段函式的原始碼直接貼到自己的程式內,然後在根據
需要修改,例如要用於 8051 內就還得需要加上定點化的技巧,目前顯示卡內硬體的反平方根
運算正是 Q_rsqrt 演算法硬體化的結果,所以先來看看這段在 Quake III 內 Q_rsqrt 的原始碼:
 
圖 2. 位於 Quake III 內的 Q_rsqrt 函式原始碼
中文註解部分是在下加上。
 
整個函式包含兩個部分:
 
第一部分, 從 整數運算 得到 一個已經 靠近解的初始值
第二不分, 利用 Newton-Raphson 方法疊代增加解的精度
 
該函式內演算法精髓的部分是在 第一部分 用整數運算取得求解所需的初始值,第二部分
到沒甚麼,有學過數值方法的讀著應該可以很輕易的看懂,但是對於沒有學過的讀者,在下
講完第一部分之後,會稍微提一下 Newton-Raphson 求解法,因為第二部分並非重點,理解
第一部分才是重點所在,第一部分用到的技巧涉及必須理解浮點數的存放結構與表達,所以
先看看浮點數怎麼存放在電腦中。
 
 
 
圖 3. 一個 n bits 的浮點數的存放結構
 
圖 4. 一個浮點數的表達
 
 
圖 3. 顯示了 一個浮點數如何存放在記憶體內,有時候又稱 floating-point bits level,各位讀者
可以看到一個端倪,其實浮點數也是一種整數,或者說每個浮點數都有獨一無二的整數映射
而圖 4. 說明了 浮點運算器怎麼解讀一個整數為浮點數的方式,由於反平方根不能有負值
所以圖 4. 中的 s 必須等於 0,因此就可以不用考慮浮點數的符號位元,剛剛前面有提到
其實浮點數也是一種整數,也就是說,假如圖 3. 的浮點數存放結構 改用整數的觀點來看
其實就是
 
圖 5.  浮點數 與 整數 的對應關係
 
圖 5. 說明 一個浮點數 與 對應的整數之間總是存在 唯一的對應關係,因此,可以將
浮點數映至對應的整數,從整數的觀點進行運算,要執行這個技巧之前,先以浮點數
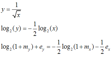
觀點對兩邊做 Binary Logarithm,也就是兩邊取 2 為基底的 log 函數:
 
圖 6. 對兩邊取 log2,且 y 與 x 皆代入圖 4. 的方程式
 
圖 6. 將 y 與 x 皆拆解為 mantissa 與 exponent 表達,剩下的工作就是要找出 從整數觀點表達
的 y 與 x 之間的關係,所以必須想辦法先把 log2 弄掉,才能夠套用圖 5. 內的恆等式,而
圖 4. 裡面的浮點數表達式中的 m 是一個大於等於 0 小於 1 的數值,所以圖 6. 中要把 log2
拿掉 可以用 近似公式
 

圖 7. 近似的 binary logarithm 公式
 
如圖 7. 所示,利用近似 Binary Logarithm 公式,可以將圖 6. 中的 log 函數拿掉,用近似公式
替換,這個近似的步驟很重要,透過這個步驟才能夠獲得才能夠獲得等價於圖 1. 的整數
運算公式,其 圖 8. 顯示了完整的推導過程。
 
圖 8. 用整數運算式表達近似反平方根運算
 
圖 8. 最後一條公式就是這個演算法最重要的結論,這條整數運算的結果就是反平方根
用整數運算表達的形式,所以最終的結論可以用圖 9. 來解釋。
 
圖 9. 最終結論解釋了圖 1. 中神秘的轉換運算的理由,可以看到
該方法厲害之處在於 Iy 轉回浮點數觀點看,其實已經是近似解
這個近似解就是最好的初始值,後面套用牛頓法只是為了增加解的精度
 
有了圖 9. 最終結論,要理解圖 1. 中 16 進位值 5F3759DF 就很簡單,只要將 B、L 與 sigma
的數值代入圖 9. 的反平方根近似整數演算法就會得到這個 魔術數字。
 
圖 10. 神秘的 0x5F3759DF 魔術數字其實只是 32-bit 浮點
代入反平方根整數演算法所得到的結果,而且 sigma 可調
該魔術數字可能會有些微的變化
 
 
圖 10. 解釋了 John Carmack 快速反平方根演算法內 Magic Number 的由來,由於在下
是直接以 n 位元浮點數推導,讀者也可以去找一找 double floating 的值會是多少
演算法後面的部分前面有提到,其實沒有甚麼值得研究的部分,用牛頓法增加解精度
有學過數值方法的讀者應該可以看得懂,因為整數演算法只是一個近似解,所以需要
用牛頓法 " 修飾 " 一下解,下面給出用牛頓法推導所得之疊代式。
 
圖 11. 用牛頓法導出求解疊代式
 
整個演算法核心的部分講完,下面給出一支帶有 GUI 介面的測試程式,並且稍微介紹一下
在下如何用 Tick 量測演算法所增進的效率。
 
圖 12. 兩種方法各執行 一百萬 次 用 GetTickCount
量測所經過的 Tick 數
 
 
從這支 GUI 測試可以發現,x86 CPU 是屬於 " 不穩定 " 的處理器,就是說要精確量測 x86
CPU 所經過的 cycle 數是不可能的事情,主要因為現在 x86 CPU 很複雜,內部有許多快取
預測的架構,所以同樣一支程式的執行時間會忽快忽慢,用這支程式就可以很明顯發現
這個現象,在 x86 平台上 Carmack 的快速反平方根演算法會比用標準數學程式庫算 
1/sqrt(x) 可能快 1.5x ~ 4x,x86 CPU 很聰明,假如曾經有計算過的某些數值,CPU 可能
直接使用快取內部的值,而不再重新計算,當然 CPU 內部實際怎麼做也許是難以理解
但是從測試結果表明,x86 CPU 並不是一種穩定的處理器,也許這個演算法可以拿到
別的平台試試看。
 
 
 
圖 13. 測試結果表明 雖然 x86 CPU 並非穩定的 CPU,但是
Carmack 的方法確實是異常的快,至少都有超過 1.5x 的速度
 
程式中的那個 Dial Widget 是 Qt 本身就有的 元件,用滾輪轉動 Dial Widget 可以動態的
觀察 speed 的變化,Carmack 的快速反平方根演算法來至少都有 1.5x 以上的速度
 
證明了為何這個演算法會被稱為

John Carmack's Unusual Fast Inverse Square Root

 
後記 : 這篇文章需要的材料比較多,主要的時間花在理解演算法的由來以及測試程式的撰寫
還有閱讀一些相關計算 平方根 與 反平方根相關的文獻閱讀,不過總算是寫成了。 
 
補充 : 現在 x86 裡面 SSE 指令集裡面就有 rsqrtss,讀者也可以利用這條指令獲得初始值
這條指令基本上就是 快速反平方根演算法 硬體化版本,一樣可以利用初始值做牛頓法疊代
增進解的精度,讀者有興趣可以自己試試看。
 
圖 14. 使用 SSE 指令 rsqrtss 計算反平方根,內插組合語言
分別給出了 CL 與 GCC 版本內插語法
 
讀者自己去測試就會知道,使用 rsqrtss 計算速度上並不會得到甚麼優勢,因為 SSE 指令內部
其實最後也是要使用 x86 內的浮點運算器,但是在語法上就變得很簡單,用 rsqrtss 可以直接
獲得近似解,用近似解做初始值放入牛頓法疊代增加解的精度。
 
對 x86 硬體結構不瞭解可以參考
Software Optimization Guide for the AMD64 Processors
Appendix A Microarchitecture for AMD Athlon 64 and AMD Opteron Processors
 
對 GCC 內插組合語言語法不熟又懶得看英文,可以參考
Linux Device Driver Programming 驅動程式設計 7-8 行內組譯

[转]講講 John Carmack 的快速反平方根演算法的更多相关文章

  1. [Swift]快速反向平方根 | Fast inverse square root

    ★★★★★★★★★★★★★★★★★★★★★★★★★★★★★★★★★★★★★★★★➤微信公众号:山青咏芝(shanqingyongzhi)➤博客园地址:山青咏芝(https://www.cnblogs. ...

  2. 【转】C语言快速幂取模算法小结

    (转自:http://www.jb51.net/article/54947.htm) 本文实例汇总了C语言实现的快速幂取模算法,是比较常见的算法.分享给大家供大家参考之用.具体如下: 首先,所谓的快速 ...

  3. 【HEVC帧间预测论文】P1.1 基于运动特征的HEVC快速帧间预测算法

    基于运动特征的 HEVC 快速帧间预测算法/Fast Inter-Frame Prediction Algorithm for HEVC Based on Motion Features <HE ...

  4. 软阈值迭代算法(ISTA)和快速软阈值迭代算法(FISTA)

    缺月挂疏桐,漏断人初静. 谁见幽人独往来,缥缈孤鸿影. 惊起却回头,有恨无人省. 拣尽寒枝不肯栖,寂寞沙洲冷.---- 苏轼 更多精彩内容请关注微信公众号 "优化与算法" ISTA ...

  5. 【转】簡單講講 USB Human Interface Device

    原地址http://213style.blogspot.com/2013/09/usb-human-interface-device.html 恩,發本文的原因是看到了以前畢業的朋友在旁邊的對話框問了 ...

  6. 快速反编绎jar war包

    反编译这些class文件或jar包或war包,用TTools https://github.com/Supermax197/TTools [root@ok action]# tree /home/ok ...

  7. jar包/class文件如何快速反编译成java文件

    有时编写的java代码打包为可执行jar包后需要查看工程结构是否是且只有我们需要的包,故需要查看jar包层级. 1.windows系统可以直接在网上下载jd-gui.exe包,然后傻瓜安装: 2.Ma ...

  8. John the Ripper快速密码破解工具简单使用

    在某场比赛中师傅们说需要用到该工具,学习之 题目给了我们一个流量包,分析 发现 .hint.php.swp文件 该文件是使用 vim 编辑文件时异常退出而产生的,可以通过 vim -r 文件名 进行相 ...

  9. 快速判断素数 --Rabin-Miller算法

    以前我在判断素数上一直只会 sqrt(n) 复杂度的方法和所谓的试除法(预处理出sqrt(n)以内的素数,再用它们来除). (当然筛选法对于判断一个数是否是素数复杂度太高) 现在我发现其实还有一种方法 ...

随机推荐

  1. 【IIS错误 - HTTP 错误 500.19】HTTP 错误 500.19- Internal Server Error 错误解决方法(二)

    昨天在 windows 7 下用 IIS 7.5 运行一个以前用 .NET Framework 3.5 写的项目,发现总是出现 500.19 错误,如下: 百度了好久,没找到解决问题确切的答案,我也知 ...

  2. Dubbo(3)Dubbo admin管理控制台

    dubbo-admin管理控制台: 可以管理服务,消费,以及其他配置: 在dubbo项目的zip包中有个demo-admin项目,可以打成war包,发布到tomcat运行里面: 我这里将dubbo-a ...

  3. PAT 乙级 1047 编程团体赛(20) C++版

    1047. 编程团体赛(20) 时间限制 400 ms 内存限制 65536 kB 代码长度限制 8000 B 判题程序 Standard 作者 CHEN, Yue 编程团体赛的规则为:每个参赛队由若 ...

  4. PHPer常见的面试题总结

    1.平时喜欢哪些php书籍及博客?CSDN.虎嗅.猎云 2.js闭包是什么? 3.for与foreach哪个更快? 4.php鸟哥是谁?能不能讲一下php执行原理? 5.php加速器有哪些?apc.z ...

  5. centos6.5远程桌面连接(VNC\SPice)

    在Linux下用vnc远程桌面,centos中默认没有安装VNC 查询系统是否安装VNC # rpm -q tigervnc tigervnc-server 安装VNC服务 # yum install ...

  6. google chrome浏览器 程序无法启动并行配置不正确

    启动电脑后打开chrome弹出如下信息: 系统:win7 进入chrome的安装路径 C:\Program Files (x86)\Google\Chrome\Application 两个版本文件夹, ...

  7. Android给TextView设置多个字体颜色

    效果如下:

  8. MySQL MHA 搭建&测试(环境:CentOS7 + MySQL5.7.23)

    MySQL MHA架构介绍: MHA(Master High Availability)目前在MySQL高可用方面是一个相对成熟的解决方案,它由日本DeNA公司youshimaton(现就职于Face ...

  9. Chapter3:Qt5布局管理

    3.1分割窗口QSplitter类 QSplitter *splitterMain = new QSplitter(Qt::Horizontal,0); QTextEdit *textLeft = n ...

  10. WebView加载失败或网络异常时,替换WebView的错误界面;

    WebView在加载失败时会显示一个失败原因的界面,各个手机显示的界面还都不一样,部分手机还会把Url显示出来:我们要做的就是统一加载失败的界面: 大概思路:在WebView这个控件上面再覆盖一个Vi ...