Not All Samples Are Created Equal: Deep Learning with Importance Sampling
@article{katharopoulos2018not,
title={Not All Samples Are Created Equal: Deep Learning with Importance Sampling},
author={Katharopoulos, Angelos and Fleuret, F},
journal={arXiv: Learning},
year={2018}}
概
本文提出一种删选合适样本的方法, 这种方法基于收敛速度的一个上界, 而并非完全基于gradient norm的方法, 使得计算比较简单, 容易实现.
主要内容
设\((x_i,y_i)\)为输入输出对, \(\Psi(\cdot;\theta)\)代表网络, \(\mathcal{L}(\cdot, \cdot)\)为损失函数, 目标为
\theta^* = \arg \min_{\theta} \frac{1}{N} \sum_{i=1}^N\mathcal{L}(\Psi(x_i;\theta),y_i),
\]
其中\(N\)是总的样本个数.
假设在第\(t\)个epoch的时候, 样本(被选中)的概率分布为\(p_1^t,\ldots,p_N^t\), 以及梯度权重为\(w_1^t, \ldots, w_N^t\), 那么\(P(I_t=i)=p_i^t\)且
\theta_{t+1}=\theta_t-\eta w_{I_t}\nabla_{\theta_t} \mathcal{L}(\Psi(x_{I_t};\theta_t),y_{I_t}),
\]
在一般SGD训练中\(p_i=1/N,w_i=1\).
定义\(S\)为SGD的收敛速度为:
S :=-\mathbb{E}_{P_t}[\|\theta_{t+1}-\theta^*\|_2^2-\|\theta_t-\theta^*\|_2^2],
\]
如果我们令\(w_i=\frac{1}{Np_i}\) 则

定义\(G_i=w_i\nabla_{\theta_t} \mathcal{L}(\Psi(x_{i};\theta_t),y_{i})\)

我们自然希望\(S\)能够越大越好, 此时即负项越小越好.
定义\(\hat{G}_i \ge \|\nabla_{\theta_t} \mathcal{L}(\Psi(x_{i};\theta_t),y_{i})\|_2\), 既然

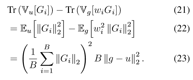
(7)式我有点困惑,我觉得(7)式右端和最小化(6)式的负项(\(\mathrm{Tr}(\mathbb{V}_{P_t}[G_{I_t}])+\|\mathbb{E}_{P_t}[G_{I_t}]\|_2^2\))是等价的.
于是有

最小化右端(通过拉格朗日乘子法)可得\(p_i \propto \hat{G}_i\), 所以现在我们只要找到一个\(\hat{G}_i\)即可.
这个部分需要引入神经网络的反向梯度的公式, 之前有讲过,只是论文的符号不同, 这里不多赘诉了.


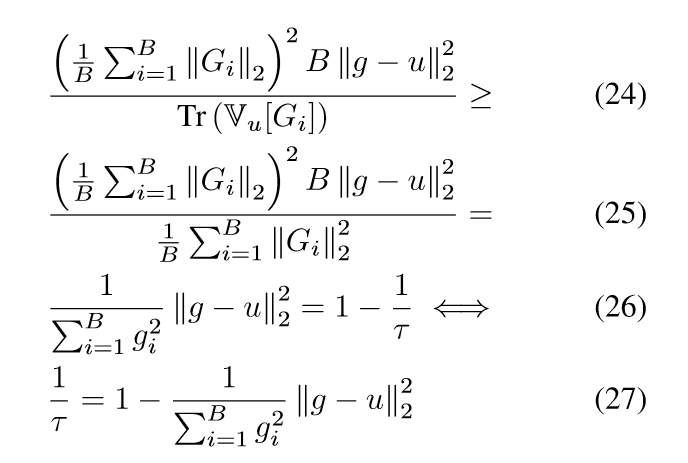
注意\(\rho\)的计算是比较复杂的, 但是\(p_i \propto \hat{G}_i\), 所以我们只需要计算\(\|\cdot\|\)部分, 设此分布为\(g\).
另外, 在最开始的时候, 神经网络没有得到很好的训练, 权重大小相差无几, 这个时候是近似正态分布的, 所以作者考虑设计一个指标,来判断是否需要根据样本分布\(g\)来挑选样本. 作者首先衡量

显然当这部分足够大的时候我们可以采用分布\(g\)而非正态分布\(u\), 但是这个指标不易判断, 作者进步除以\(\mathrm{Tr}(\mathbb{V}_u[G_i])\).

显然\(\tau\)越大越好, 我们自然可以人为设置一个\(\tau_{th}\). 算法如下

最后, 个人认为这个算法能减少计算量主要是因为样本少了, 少在一开始用正态分布抽取了一部分, 所以...
"代码"
主要是\(\hat{G}_i\)部分的计算, 因为涉及到中间变量的导数, 所以需要用到retain_grad().
"""
这里只是一个例子
"""
import torch
import torch.nn as nn
class Net(nn.Module):
def __init__(self):
super(Net, self).__init__()
self.dense = nn.Sequential(
nn.Linear(10, 256),
nn.ReLU(),
nn.Linear(256, 10),
)
self.final = nn.ReLU()
def forward(self, x):
z = self.dense(x)
z.retain_grad()
out = self.final(z)
return out, z
if __name__ == "__main__":
net = Net()
criterion = nn.MSELoss()
x = torch.rand((2, 10))
y = torch.rand((2, 10))
out, z = net(x)
loss = criterion(out, y)
loss.backward()
print(z.grad) #这便是我们所需要的
Not All Samples Are Created Equal: Deep Learning with Importance Sampling的更多相关文章
- Accelerating Deep Learning by Focusing on the Biggest Losers
目录 概 相关工作 主要内容 代码 Accelerating Deep Learning by Focusing on the Biggest Losers 概 思想很简单, 在训练网络的时候, 每个 ...
- (转) The major advancements in Deep Learning in 2016
The major advancements in Deep Learning in 2016 Pablo Tue, Dec 6, 2016 in MACHINE LEARNING DEEP LEAR ...
- Deep Learning in R
Introduction Deep learning is a recent trend in machine learning that models highly non-linear repre ...
- Summary on deep learning framework --- PyTorch
Summary on deep learning framework --- PyTorch Updated on 2018-07-22 21:25:42 import osos.environ[ ...
- [C3] Andrew Ng - Neural Networks and Deep Learning
About this Course If you want to break into cutting-edge AI, this course will help you do so. Deep l ...
- Deep Learning 5_深度学习UFLDL教程:PCA and Whitening_Exercise(斯坦福大学深度学习教程)
前言 本文是基于Exercise:PCA and Whitening的练习. 理论知识见:UFLDL教程. 实验内容:从10张512*512自然图像中随机选取10000个12*12的图像块(patch ...
- (转)WHY DEEP LEARNING IS SUDDENLY CHANGING YOUR LIFE
Main Menu Fortune.com E-mail Tweet Facebook Linkedin Share icons By Roger Parloff Illustration ...
- (转)Deep Learning Research Review Week 1: Generative Adversarial Nets
Adit Deshpande CS Undergrad at UCLA ('19) Blog About Resume Deep Learning Research Review Week 1: Ge ...
- (转)The 9 Deep Learning Papers You Need To Know About (Understanding CNNs Part 3)
Adit Deshpande CS Undergrad at UCLA ('19) Blog About The 9 Deep Learning Papers You Need To Know Abo ...
随机推荐
- Spring 文档汇总
Spring Batch - Reference Documentation Spring Batch 参考文档中文版 Spring Batch 中文文档 Table 2. JdbcCursorIte ...
- spring boot springMVC扩展配置 。WebMvcConfigurer ,WebMvcConfigurerAdapter
摘要: 在spring boot中 MVC这部分也有默认自动配置,也就是说我们不用做任何配置,那么也是OK的,这个配置类就是 WebMvcAutoConfiguration,但是也时候我们想设置自己的 ...
- uni-app使用腾讯地图注意点
地图map组件使用腾讯地图自定义样式: 1:在使用地图map组件腾讯地图时,获取本地定位,经纬度转地址与地址转经纬度解析时,小程序可以直接使用.但是h5版本会报跨域问题,目前前端没有找到更好的解决方法 ...
- Redis图形管理 redis-browser
目录 一.介绍 二.部署 三.启动 监听单台 听多台 四.报错合集 一.介绍 redis-browser是redis的web端图形化管理工具.利用它可以查看和管理redis的数据,界面简洁,能和ral ...
- antd动态的表格合并(包含排序功能)
主要是两个步骤, 1.处理接口返回数据,给其添加两个属性,一个是合并行数(列数),一个是当前数据的序号 2.在columns结合antd官网的处理方法合并表格 3.尽可能得减少计算量 数据处理函数 / ...
- Hive实战UDF 外部依赖文件找不到的问题
目录 关于外部依赖文件找不到的问题 为什么要使用外部依赖 为什么idea 里面可以运行上线之后不行 依赖文件直接打包在jar 包里面不香吗 学会独立思考并且解决问题 继承DbSearcher 读取文件 ...
- QT QApplication干了啥?
------------恢复内容开始------------ QCoreApplicationPrivate 会取得current thread; 在windows平台创建TLS变量,记录线程信息,并 ...
- Table.Group分组…Group(Power Query 之 M 语言)
数据源: 10列55行数据,其中包括含有重复项的"部门"列和可求和的"金额"列. 目标: 按"部门"列进行分组,显示各部门金额小计. 操作过 ...
- 延时间隔(Project)
<Project2016 企业项目管理实践>张会斌 董方好 编著 像"饭前洗手"这种事,绝大部分情况下,是洗完手马上就可以动筷子开吃,但总会有意外,比如手都洗好了,突然 ...
- 小迪安全 Web安全 基础入门 - 第三天 - 抓包&封包&协议&APP&小程序&PC应用&WEB应用
一.抓包工具 1.Fiddler.Fiddler是一个用于HTTP调试的代理服务器应用程序,能捕获HTTP和HTTPS流量,并将其记录下来供用户查看.它通过使用自签名证书实现中间人攻击来进行日志记录. ...